Chapter 66
Antiparasitic Drugs in Ophthalmology
KIRK R. WILHELMUS
Main Menu   Table Of Contents

Search

ANTIPROTOZOAL DRUGS FOR ACANTHAMOEBIC KERATITIS
ANTIPROTOZOAL DRUGS FOR MICROSPORIDIAL KERATOCONJUNCTIVITIS
ANTIPROTOZOAL DRUGS FOR TOXOPLASMIC RETINOCHOROIDITIS
ANTIPROTOZOAL DRUGS FOR PNEUMOCYSTIC CHOROIDITIS
ANTHELMINTHIC DRUGS FOR OCULAR TOXOCARIASIS AND DIFFUSE UNILATERAL SUBACUTE NEURORETINITIS
ANTHELMINTHIC DRUGS FOR CYSTICERCOSIS
ANTHELMINTHIC DRUGS FOR ONCHOCERCIASIS
ANTIPARASITIC DRUGS FOR LICE INFESTATION
ACKNOWLEDGMENTS
REFERENCES

The development of systemic antiparasitic drugs arose from research on malaria. After the discovery of penicillin, hundreds of extracts from actinomycetes and molds were screened for antimalarial activity. The recognition that sulfonamides selectively inhibited microbial growth without serious harm to humans led to research on parasitic metabolism and the development of animal models. This work was stimulated by advances in the synthesis of chemical compounds and by the epidemic of parasitic diseases affecting the military stationed in the western Pacific during World War II. Further developments in antiparasitic chemotherapy came about from drugs developed for veterinary use. Several antiparasitic drugs are now available for treating systemic diseases.1

Antiparasitic drugs for ocular diseases are a recent development. The need for these drugs became more apparent during the last quarter of the 20th century as protozoal and helminthic diseases of the eye became increasingly recognized in developed nations as well as the developing world.2 Toxoplasmosis was the first ocular parasitic disease for which antimicrobial control was evaluated experimentally and clinically, and new antitoxoplasmic agents continue to be developed. Innovative developments in antiparasitic ocular chemotherapy arose from the need to treat parasitic ocular infections that have recently emerged, such as amebic keratitis and microsporidial keratoconjunctivitis. Choices remain limited, but several antiparasitic drugs are now available for the major parasitic diseases of the eye (Table 1).3

 

TABLE ONE. Major Parasitic Infections of the Eye


 Protozoal InfectionsHelminthic Infections
Anterior segmentAcanthamoebic keratitisOnchocercal keratitis and iritis
 Microsporidial keratoconjunctivitis 
Posterior segmentToxoplasmic retinochoroiditisOcular toxocariasis
 Pneumocystic choroiditisDiffuse unilateral subacute neuroretinitis
  Cysticercosis
  Onchocercal chorioretinitis

 

Ocular parasitic infections are sufficiently uncommon that clinical trials have not yet been done. The evidence for use of these agents is largely anecdotal. Some antiparasitic agents are hard to obtain, and most are considered investigational for treating ocular disease. Approval for human use may need to be obtained from a regulatory agency. An Investigational New Drug (IND) number can be obtained from the U.S. Food and Drug Administration (FDA) by providing information about a nonapproved drug's preparation, use, and previous treatment results. An indemnity agreement and informed patient consent may also be necessary.

Back to Top
ANTIPROTOZOAL DRUGS FOR ACANTHAMOEBIC KERATITIS
Many compounds have been screened for antiamebic activity. Inconsistencies occur among drug sensitivity studies, partially because of variations in methodology.4 Amebic cysts are more refractory to elimination than trophozoites.5 No single agent appears to be effective against all isolates of Acanthamoeba and able to penetrate into the infected cornea at cysticidal levels without undue toxicity. The role of many compounds, including plant extracts,6 antiseptics,7 and other agents remains speculative. Cumulative clinical experience has led to multiple-drug regimens in the treatment of amebic keratitis (Table 2).8–10

 

TABLE TWO. Antiprotozoal Drugs for Acanthamoebic Keratitis


DrugFormulaDosage
NeomycinC23H46N6O131.75–3.5 mg/ml (in commercial solution) or 5–10 mg/ml, topically
Paromomycin (aminosidine)C23H45N5O1410 mg/ml, topically
MiconazoleC18H14Cl4N2O10 mg/ml, topically
ClotrimazoleC22H17ClN410 mg/ml, topically
KetoconazoleC26H28Cl2N4O4400 mg/day, orally
ItraconazoleC35H38Cl2N8O4200 mg/day, orally
PropamidineC17H20N4O21 mg/ml, topically
HexamidineC20H26N4O21 mg/ml, topically
Polyhexanide (polyhexamethylene biguanide)C8H17N5On0.2 mg/ml, topically
ChlorhexidineC22H30Cl2N100.2 mg/ml, topically

 

AMINOGLYCOSIDES: NEOMYCIN AND PAROMOMYCIN

Historical Development

The term antibiotic was coined in the 1940s by Waksman to describe chemical substances of microbial origin that inhibit the growth or the metabolic activities of bacteria and other microorganisms. By screening a large number of soil actinomycetes, his laboratory discovered streptomycin, for which the 1952 Nobel Prize in Medicine or Physiology was subsequently awarded. In 1949, Waksman's laboratory found that Streptomyces fradiae produced a group of antibacterial compounds collectively called neomycin.11

Neomycin-containing products are composed largely of neomycin B. Oral neomycin is poorly absorbed and was formerly used to suppress intestinal flora before bowel surgery and to sequester bile acids in treating hypercholesterolemia. Ototoxic and renal side effects occur, and this systemic toxicity has limited neomycin's use to topical dermatologic and ophthalmologic preparations.12 Neomycin was one of the first compounds found to have in vitro amebicidal and cysticidal activity against ocular isolates of Acanthamoeba.13 Neomycin was one of several topical drugs used in treating some of the first reported cases of Acanthamoeba keratitis.14,15

Paromomycin (“closely resembling neomycin”) was isolated from Streptomyces rimosus in 1956 by researchers at Parke-Davis16 and is also produced by S. chrestomyceticus. This oral aminoglycoside was first used in the treatment of intestinal amebiasis and tapeworm infestation and more recently in suppressing cryptosporidiosis. Paromomycin (aminosidine in the United Kingdom) was one of the first compounds found to inhibit acanthamoebae in vitro17 and is possibly more active than neomycin.18 Based on its activity against ocular isolates, paromomycin 1% solution was used in the first patient treated for Acanthamoeba keratitis.19 The amebicidal role of newer aminoglycosides such as geneticin has not been studied.

Chemistry and Preparations

Like other aminoglycosides, neomycin is a highly polar cation that is very stable at room temperature. Neomycin B contains three amino sugars that are linked to an aminocyclitol ring, 2-deoxystreptamine (Fig. 1). Neomycin sulfate is available in several ophthalmic eyedrops and ointments, often in combination with other antibiotics and/or corticosteroids. Neomycin-containing eyedrops are commercially available in concentrations of 1.75 mg/ml in combination with polymyxin B and gramicidin (Neosporin and others), 3.5 mg/ml in combination with polymyxin B (Statrol), 3.5 mg/ml in combination with polymyxin B and a corticosteroid (Cortisporin, Maxitrol, Poly-Pred, and others), and 3.5 mg/ml in combination with a corticosteroid (NeoDecadron). The solid drug (available as 500-mg tablets) or a concentrated solution (available in ampules for urinary bladder irrigation at a concentration of 40 mg/ml in combination with polymyxin B) has been diluted in buffered saline or artificial tears to a concentration of 5 to 10 mg/ml for topical use.

Fig. 1. Aminoglycosides with antiprotozoal activity.

Like neomycin B, paromomycin I is made up of three amino sugars attached by a glycosidic linkage to a hexose nucleus. The drug is water-soluble, and a topical preparation can be prepared by dissolving the powder of the 250-mg oral capsule (Humatin) in isotonic saline or artificial tears to yield a concentration of 10 mg/ml.

Pharmacologic Actions

The aminoglycosides exert antibacterial effects by binding to ribosomes, thereby inhibiting protein synthesis, and perhaps by a direct bactericidal action on the cell membrane. The mechanism of action against Acanthamoeba has not been adequately studied and remains speculative. The aminoglycosides have good amebicidal activity against trophozoites but have limited cysticidal effects for most clinical isolates (Table 3).

 

TABLE THREE. Average Susceptibility of Most Acanthamoeba Corneal Isolates


DrugMinimum Trophozoiticidal ConcentrationMinimum Cysticidal Concentration
Neomycin5–20 μg/ml100–1000 μg/ml
Paromomycin1–5 μg/ml100–1000 μg/ml
Miconazole125–250 μg/ml250–1000 μg/ml
Clotrimazole125–250 μg/ml100–1000 μg/ml
Ketoconazole125–250 μg/ml100–1000 μg/ml
Itraconazole125–250 μg/ml100–1000 μg/ml
Propamidine0.5–1 μg/ml5–500 μg/ml
Hexamidine0.5–1 μg/ml5–500 μg/ml
Polyhexanide0.5–1 μg/ml1–5 μg/ml
Chlorhexidine0.5–1 μg/ml1–5 μg/ml

Compiled from multiple sources.

 

Neomycin presumably passes through the cytoplasmic membrane of trophozoites, probably by an active aerobic process. By itself, neomycin has a limited effect against cysts. Amebicidal and cysticidal concentrations are typically much higher than corresponding minimal inhibitory concentrations.20 The addition of an agent that disrupts the cyst wall may facilitate a cysticidal or cystistatic effect of neomycin.

Paromomycin can interfere with ribosomal protein synthesis in several microorganisms, but its action on acanthamoebae has not been studied. Cysticidal activity may be related to an effect on membrane permeability.

Dosage and Pharmacokinetics

The oral aminoglycosides are poorly absorbed and must be applied topically for treating acanthamoebic keratitis. One drop every 1 to 2 hours is usually begun during initial therapy. Corneal levels achieved by topical neomycin or paromomycin during inflammation have not been measured.

Adverse Effects

Topical neomycin produces contact hypersensitivity in 5% to 10% of patients. Eyelid edema, conjunctivitis, and punctate corneal erosions may be due to allergic and toxic effects of topical neomycin. While the corneal epithelium is minimally affected by a low dose of topical neomycin,21–23 cytotoxicity occurs at concentrations greater than 5 mg/ml.24 Corneal sensation can be altered with very high levels of neomycin eyedrops.25

The effects of topical paromomycin on the ocular surface have not been adequately studied. Frequent dosing and prolonged administration presumably can slow wound healing and may contribute to conjunctival hyperemia and punctate corneal erosions.

Clinical Experience

Neomycin or paromomycin has been a part of the medical regimen in several cases of Acanthamoeba keratitis,26 but it is difficult to ascertain their clinical value. Permanent quiescence has occurred with combination therapy that includes one of these topical aminoglycosides, but other cases have progressed. The role of neomycin and other antibacterial agents in eradicating or preventing concomitant bacterial growth that might complicate Acanthamoeba corneal infection has not been determined. Whether both aminoglycosides would be additive when used together is not known.

DIAMINIDES: PROPAMIDINE AND HEXAMIDINE

Historical Development

Propamidine was synthesized in 1941 and reported to have antimicrobial properties in 1951. The finding that hydroxystilbamidine was effective in vitro against strains of acanthamoebae led to the discovery that other diamidine congeners might be clinically useful. The addition of propamidine (prop[ane] + amidine) to the medical regimen for Acanthamoeba keratitis seemed to increase the likelihood of successful treatment.27,28 Other diamidines, such as hexamidine (hex[ane] + amidine)29,30 and pentamidine,31 have also been assessed.

Chemistry and Preparations

Propamidine (4,4'-[trimethylenedioxy]dibenzamidine) and hexamidine (4,4'-[hexamethylenedioxy]dibenzamidine) are available as diisethionate salts in 0.1% ophthalmic solutions that are licensed as ocular disinfectants for nonprescription sale as Brolene ( Rhône-Poulenc) in the United Kingdom and as Désomédine (Chauvin) in France, respectively (Fig. 2). Dibromopropamidine ointment (Brolene) is marketed in Great Britain for human and veterinary use.

Fig. 2. Structural basis of the antiprotozoal diamidines, propamidine (n = 3), pentamidine (n = 5), and hexamidine (n = 6).

Pharmacologic Actions

The protanated amidine groups interact with the plasma membrane of trophozoites, resulting in cytoplasmic leakage. The molecule must pass through the double wall of cysts, which occurs even though it is composed mainly of hydrophilic chitin. The amebicidal and cysticidal effects partially depend on the lipophilic property of the drug. Diamidines also produce an inhibitory effect by gaining entry into the cell, where the drug blocks molecular linkages and dissociates nucleic acids from proteins. Diamidines can bind to DNA sequences composed of at least four consecutive adenine-thymidine base pairs, although the relationship between nucleotide binding and amebicidal activity is uncertain.32 Aromatic diamidines also inhibit amebic adenosylmethionine decarboxylase.33

There is an additive cysticidal effect between propamidine and other effective agents such as neomycin or paromomycin. In vitro studies show variable cysticidal activity.34,35 Diamidines have little or no effect on microsporidia.

Dosage and Pharmacokinetics

A concentration of 0.1% is commercially available in over-the-counter solutions of propamidine and hexamidine, but the optimal dosage is not known. Treatment is usually begun as one drop every 1 to 2 hours, although an initial frequency of every 15 to 30 minutes has been recommended.36,37

Adverse Effects

Topical diamidines can produce stinging and burning immediately after application. Conjunctival hyperemia and punctate corneal erosions have been attributed to its use.38 Mast-cell degranulation with histamine release is produced by propamidine. Contact hypersensitivity has been described.

Clinical Experience

A multiple-drug regimen is commonly used in the treatment of Acanthamoeba keratitis. While medical control was achieved in some of the early cases, the addition of a diamidine such as propamidine has improved the chance for successful resolution of infection.35 Resistant cases have been encountered,39 and propamidine resistance can emerge during therapy.40

BIGUANIDES: POLYHEXANIDE AND CHLORHEXIDINE

Historical Development

The biguanides were first synthesized in the 1940s in the search for antimalarial agents. The antimalarial biguanides (e.g., chlorguanide) and other guanidine derivatives (e.g., guanethidine) have minimal or inconsistent antiamebic activity, but their discovery led to biguanide compounds with broader antimicrobial properties.

Chlorhexidine was developed by Imperial Chemical Industries in the 1950s.41 When the bis-biguanides such as chlorhexidine were found to be more microbicidal than the monomeric biguanides, polymeric biguanides were developed. Polyhexamethylene biguanide (polyhexanide, PHMB) was developed during the 1960s in several molecular weights.

As a result of the public concern about amebic meningoencephalitis, especially in Australia and New Zealand in the 1970s, an agent was sought to kill free-living amebae in swimming pools and hot tubs. PHMB was found to be amebicidal,42 and this cationic agent was developed as an alternative to chlorination for water sanitation. The proposal that biguanide biocides may play a role in the treatment of Acanthamoeba keratitis was based on in vitro studies at Bath, England. Choosing an empiric concentration of 0.02% (200 μg/ml) that would be expected to give corneal levels of polyhexamethylene biguanide greater than the minimum cysticidal concentration, this diluted swimming pool disinfectant was first successfully used to treat patients responding poorly to conventional antiamebic therapy.43 Further experience showed that it was useful as part of primary treatment.44,45

Chlorhexidine was known to have in vitro efficacy against pathogenic amebae in the 1970s.46 Further laboratory testing confirmed that PHMB, chlorhexidine, and other biguanides (e.g., alexidine) were effective against Acanthamoeba.47 Biguanides emerged as clinically useful agents during the 1990s.

Chemistry and Preparations

Polyhexamethylene biguanide is not commercially marketed as a human medication. It is available in a number of products under different trade names (Baquacil, Cosmocil, Vantocil) as heterodisperse mixtures with differing average molecular weights. The optimal antiamebic concentration for ocular use has not been determined. A 0.00005% concentration of PHMB in a contact lens disinfectant (ReNu) is too low for cysticidal activity.48,49 Serial dilution of a swimming pool disinfectant, containing 20% Baquacil, to a concentration of 0.02% has been successfully used in treating Acanthamoeba keratitis. Concentrations of more than 0.5% are toxic to the ocular surface. Commercial preparations of PHMB may be composed of a mixture of various lengths of polymer chains (Fig. 3). While several hundred repeating units are feasible, most products contain about 5 to 15 hexamethylene units. The degree of polymerization may relate to microbicidal activity,50 and there may be therapeutic differences between Baquacil, Cosmocil, and other polyhexanide preparations.

Fig. 3. Biguanides with antiamoebic activity. The number of repeating units (n) in commercial sources of polyhexanide (polyhexamethylene biguanide) ranges from 2 to 40.

Chlorhexidine (1,6-di[4-chlorophenyl-diguanidino]hexane) digluconate is marketed as a skin disinfectant (Hibitane) in a detergent or alcohol base (e.g., Hibiclens and Hibistat) and for use as a mucosal rinse (e.g., Peridex).51 A concentration of 0.02% in isotonic saline or artificial tears has been successfully used in treating Acanthamoeba keratitis.52

Biguanide solutions can become contaminated. The use of preservatives may be considered when making extemporaneous dilutions.

Pharmacologic Actions

Polyhexanide and chlorhexidine are taken up by amebic cysts and trophozoites.53 Cysts are more resistant than trophozoites.54 The effects depend on the concentration and duration of biocide.55

Biguanide disinfectants interrupt microbial DNA function by complexing with intracellular phosphated molecules such as adenosine triphosphate and nucleic acids. The cationic biguanides also adsorb to phospholipids of the trophozoite's plasma membrane, leading to cytoplasmic leakage. Biguanides may alter the permeability of amebic cysts in a similar way, resulting in shrinkage of intracystic amebae with separation of the plasma membrane from the endocystic wall.56 Biguanides also deform cytoplasmic organelles and cause nuclear chromatin to aggregate. By affecting the integrity of the cyst's ostiole, biocides might enhance the penetration of other antiparasitic agents. Whether resistance can be induced experimentally or by selective environmental exposure has not been determined. Several methods are available to assess the lethal effects of biguanides in vitro.57

Dosage and Pharmacokinetics

A 0.02% concentration of polyhexanide or chlorhexidine is typically used, at a frequency of every 1 to 2 hours during initial treatment. Corneal penetration kinetics have not been determined. Biguanides can bind to plastic and glass and to chloride anions in saline, but the clinical importance of these interactions has not been determined.

Adverse Effects

Stinging and burning may occur immediately after instillation. Conjunctival injection and punctate corneal epithelial erosions can occur. Dilute preparations less than 0.05% are safe for ocular application. Minimal toxicity of epithelial cells occurs with low concentrations of polyhexanide58 or chlorhexidine.59,60 High concentrations of biguanides cause toxic keratoconjunctivitis. Inappropriate use of 4% chlorhexidine in a detergent base can produce corneal inflammation and edema.61,62

Clinical Experience

One or the other of these two agents (polyhexanide and chlorhexidine) can be used in the initial treatment of Acanthamoeba keratitis. While some patients may respond to a single agent,62a others fail single-agent therapy.63 A biguanide is usually used in combination with other topical drugs such as propamidine or hexamidine.64,65 The addition of a topical biguanide to the regimen in patients unresponsive to other agents has led to clinical improvement.66 In vitro susceptibility, however, may not predict the clinical effectiveness of biguanide therapy.67 Insufficient information is available to judge the relative efficacy and safety of polyhexanide and chlorhexidine. The use of both agents together has not been assessed, and the role of other biocides (e.g. povidone-iodine) is unclear.

IMIDAZOLES AND TRIAZOLES

Historical Development

Imidazoles were developed in the 1960s at Farbenfabriken Bayer as synthetic organic chemicals. The antiprotozoal drug thiabendazole was found to have in vitro antifungal activity in 1965, and this led to the development of other imidazoles. The first compound studied for human fungal infections was clotrimazole.68 In vitro studies subsequently showed that miconazole and clotrimazole were effective agents against Acanthamoeba strains.69,70 Clotrimazole and ketoconazole were used in some of the first reported cases of Acanthamoeba keratitis.19,71 Imidazoles such as ketoconazole, miconazole, and clotrimazole have been used in the oral and topical treatment of Acanthamoeba keratitis. Triazoles such as itraconazole, fluconazole, and secnidazole have been recently introduced.

Chemistry and Preparations

Several imidazole and triazole compounds are commercially available (Fig. 4). Miconazole was available as a 20-mg/ml acidic solution, containing parabens, for intravenous infusion. This preparation has been dispensed, undiluted, in eyedropper bottles for topical use. Clotrimazole is available in dermatologic (Lotrimin and others) and vaginal (Mycelex and others) preparations, but these are irritating to the ocular surface. Topical clotrimazole can be prepared by obtaining the powder, ensuring sterility, and making a suspension in artificial tears.72 Clotrimazole 1% has been prepared from the micronized powder used for fungal sensitivity testing (Schering Corporation, Kenilworth, NJ). The suspension should be shaken before each use and may need to be reformulated every few weeks.

Fig. 4. Azole antiparasitic agents.

Several azole compounds are marketed for oral use. Ketoconazole is a weak dibasic imidazole piperazine compound that is practically insoluble in water at pH above 3. The drug is available as 200-mg scored tablets. Ophthalmic application of the 2% dermatologic cream can lead to a marked burning sensation. A topical preparation can be made by grinding the tablet to a fine powder and suspending it in buffered solution to yield a 2% concentration. Oral itraconazole is available as 100-mg capsules. The role of topical itraconazole or fluconazole in Acanthamoeba keratitis has not been studied.

Pharmacologic Actions

Imidazoles and triazoles exert an antifungal effect by disrupting the permeability of the cell membrane. Their mechanism of action on amebic trophozoites and cysts has not been adequately studied but presumably results in leakage of cytoplasmic molecules by interacting with the hydrophobic portion of the phospholipid cell membrane. Organisms that encyst become relatively more resistant to antiamebic agents.

Dosage and Pharmacokinetics

Oral absorption depends on gastric acidity, and bioavailability is reduced by H2-blockers such as ranitidine (Zantac) and famotidine (Pepcid) and by antacids. Its absorption in patients with achlorhydria can be enhanced by taking the drug with an acidic (pH 2.5) cola. The usual adult dose of ketoconazole is 400 mg daily, given as one or two doses. The oral drug is metabolized by the liver. By competing for hepatic microsomal enzymes, ketoconazole can increase the toxicity of other drugs, such as the nephrotoxicity of cyclosporine and the anticoagulant effect of warfarin. Oral ketoconazole results in a corneal level of approximately 50 μg/g that persists for at least 1 day.73

The usual oral dose of itraconazole is 200 mg daily, taken as one or two doses. Absorption of itraconazole is greater when taken with food. Hepatic metabolism of the triazoles is slower than that of the imidazoles.

Topical ophthalmic preparations of imidazoles are not commercially available but can be made with an appropriate vehicle. The lipid solubility of many azole compounds limits their ophthalmic use, although oils and cyclodextrins have been used to prepare these compounds.

Adverse Effects

Nausea is the most common side effect of ketoconazole and itraconazole after oral dosing and can be reduced by taking the tablet with meals. Itching and skin rash can occur. Inhibition of steroid biosynthesis can result in menstrual irregularities, male gynecomastia, and fluid retention. Drug-induced hepatitis is rare, but patients with anorexia, malaise, nausea, or abdominal pain should probably have liver function testing. Ketoconazole should be avoided in pregnant or nursing women. Compared with ketoconazole, the systemic triazoles have less effect on human sterol metabolism. Oral antihistamines such as astemizole (Hismanal) should be avoided because of the risk of serious cardiac dysrhythmia. The dosage of digoxin or oral hypoglycemic agents needs to be monitored during coadministration with oral ketoconazole or itraconazole. Cholesterol-lowering statins (e.g., lovastatin) may need to be discontinued during itraconazole therapy to avoid rhabdomyolysis.

The topical dermatologic and vaginal preparations of clotrimazole, miconazole, and related compounds may be too irritating for ophthalmic use. A 1% preparation of miconazole, clotrimazole, or ketoconazole produces minimal epithelial toxicity.74,75 Topical ketoconazole can precipitate on the eyelid margins and within a corneal epithelial defect.

Clinical Experience

Topical miconazole76–78 and topical clotrimazole79 have been successfully used in combination therapy. Adverse effects on the ocular surface limit their use in some patients. The benefit of oral ketoconazole or itraconazole in medical treatment is difficult to assess. Some ophthalmologists use an oral agent, taken with meals, as a supplement during the first few weeks of concomitant topical treatment.80

Back to Top
ANTIPROTOZOAL DRUGS FOR MICROSPORIDIAL KERATOCONJUNCTIVITIS
Microsporidia are spore-forming protozoa that commonly infect many animals such as insects and fish. Two forms of human ocular infection by these obligate intracellular parasites are recognized. Superficial keratoconjunctivitis caused by Encephalitozoon hellem, and rarely E. cuniculi or E. (formerly Septata) intestinalis or Trachipleistophora hominis, has been reported in patients with AIDS and a rare otherwise healthy person. Focal stromal keratitis caused by Vittaforma (formerly Nosema) corneae, M. africanum or M. ceylonensis has been reported in patients after corneal trauma. Because isolation is problematic, laboratory diagnosis is generally limited to histopathologic examination of a corneal biopsy or conjunctival specimen. Few antiprotozoal drugs have been screened against ocular isolates by in vitro testing,81 much less evaluated for clinical efficacy and safety (Table 4).

 

TABLE FOUR. Antiprotozoal Drugs for Microsporidial Keratoconjunctivitis


DrugFormulaDosage
FumagillinC26H34O70.1 mg/ml, topically
AlbendazoleC12H15N3O7S800 mg/day, orally, in 2 divided doses

 

FUMAGILLIN

Historical Development

Fumagillin is a naturally secreted product of Aspergillus fumigatus discovered in 1951.82 In 1952 fumagillin was used to treat human amebiasis.83 Fumagillin was later developed to control microsporidiosis in honeybees84 and fish. Fumidil B is a water-soluble form of fumagillin that inhibits animal isolates of microsporidia. In 1990 microsporidial keratoconjunctivitis was described in patients with AIDS85; topical fumagillin was reported to have a potential clinical role for this disease in 1993.

Chemistry and Preparations

Fumagillin bicyclohexylammonium is available as a dry powder (Fumidil B) containing 23 mg fumagillin (Fig. 5) per gram of powder (Mid-Continent Agrimarketing, Overland Park, KS). Other preparations are also available (e.g., Chinoin Pharmaceutical & Chemical Works, Ltd., Budapest, Hungary). The role of synthetic fumagillin analogues such as TNP-470 (Takeda Chemical Industries) for treating ocular microsporidiosis is unknown.86,87

Fig. 5. Fumagillin.

Pharmacologic Actions

Fumagillin inhibits replication88 but probably does not kill organisms.89 In vitro studies show that fumagillin inhibits the replication of E. cuniculi,90,91 but the numbers of organisms increase within 2 days after the drug is withdrawn.89 The mechanism of action may be due to inhibition of DNA or RNA synthesis92 or to an effect on the cell membrane.93 Fumagillin may also have antiangiogenic and immunosuppressive effects by binding to methionine aminopeptidase 2 and by suppressing mRNA expression.

Dosage and Pharmacokinetics

The optimal dosage of topical fumagillin has not been determined. A 3-mg/ml concentration of Fumidil B (made by dissolving 30 mg of Fumidil B powder in 10 ml sterile saline or artificial tears, equivalent to 70 μg/ml of fumagillin)94 has been used, as well as a higher concentration.95 A concentration of approximately 0.1 mg/ml of the active ingredient has been successfully used every 2 hours.96 Guidelines for the preparation of ophthalmic pharmaceuticals should be followed. After filtration, the solution is dispensed in a sterile eyedropper bottle.

Adverse Effects

Minimal side effects on the ocular surface occur with fumagillin solution.94 Oral administration can be toxic.97

Clinical Experience

Topical fumagillin can suppress but may or may not eradicate E. hellem infection of the conjunctival and corneal epithelium.94,95,98 Initial treatment of microsporidial keratoconjunctivitis in a patient with AIDS is generally begun at one drop every 1 to 2 hours.96 Dosing frequency is reduced once the patient notices decreased foreign-body sensation and photophobia. Combined treatment with topical fumagillin and oral albendazole is used when nonocular infection also is present.99 Oral fumagillin has been reported for intestinal microsporidiosis.

Recrudescent infection may occur when the drug is stopped. It may be necessary to continue chronic treatment twice daily,100 particularly if the CD4 count remains low. Medical treatment of Vittaforma keratitis in an immunocompetent individual has not been adequately studied, and corneal transplantation has generally been done.

ALBENDAZOLE

Historical Development

After many benzimidazole derivatives were screened for larvicidal activity, albendazole was shown to have activity against trematodes, cestodes, and nematodes in 1976.101 Primarily used as a treatment for common intestinal helminthic infestations (e.g., hookworm, roundworm, pinworm, and whipworm), albendazole was successfully used in the treatment of intestinal microsporidiosis due to Enterocytozoon bieneusi in AIDS patients. While topical thiabendazole is not apparently effective for treating ocular disease,94 oral albendazole may have a supplemental role in the palliative treatment of microsporidiosis, particularly cases associated with intestinal or other mucous membrane involvement.102,103 The role of metronidazole, triclabendazole, and related azole compounds has not been assessed for ocular parasitic disease.

Chemistry and Preparations

Albendazole is available as 200-mg tablets (Abenza [SmithKline Beecham]) and in some countries as 100 mg/5 ml. A buffered solution of albendazole in cyclodextrin has been described but has not been studied for ophthalmic use.

Pharmacologic Actions

Albendazole is effective in vitro90 presumably by interfering with tubulin polymerization and thereby inhibiting the assembly of the parasite's microtubules.104,105 Inhibiting the microtubule-dependent uptake of glucose by the protozoan depletes glycogen stores. Albendazole is inhibitory but may not be parasiticidal.

Dosage and Pharmacokinetics

A dosage of 7.5 mg/kg (400 mg) twice daily is recommended for adults and adolescents.106 Dosage has not been established for young children. The drug is poorly water-soluble and is erratically absorbed from the gut. Absorption is enhanced by taking it with a fatty meal. Oral albendazole is rapidly metabolized in the liver to the active sulphoxide, and most diffuses back into the gastrointestinal tract. Peak plasma levels of albendazole sulphoxide are only about 0.3 μg/ml and are reached in 2 to 3 hours, with a half-life of 8 to 9 hours. Whether sufficient drug levels in the eye can be achieved for treating ocular microsporidiosis has not been determined. The drug may not eradicate infection and may need to be taken for several weeks.

Adverse Effects

Gastrointestinal distress, headache, and dizziness infrequently occur and are generally mild and transient. Prolonged therapy can lead to hepatic dysfunction, bone marrow suppression, and alopecia. Liver enzymes (ALT and AST) and blood counts should be monitored during high-dose therapy. Benzimidazole drugs should be avoided during pregnancy. Stevens-Johnson syndrome has been reported after albendazole use.

Clinical Experience

Disseminated (including conjunctiva) E. cuniculi infection107 and E. hellem sinusitis and conjunctivitis108–110 have responded to oral albendazole. Albendazole reduces the risk of relapse in nonocular microsporidiosis.111 Oral itraconazole may be given as an alternative to albendazole.111a

Back to Top
ANTIPROTOZOAL DRUGS FOR TOXOPLASMIC RETINOCHOROIDITIS
Toxoplasma gondii is a protozoal parasite; the domestic cat is its definitive host, with many other animals serving as intermediate hosts. Humans are infected by ingesting undercooked meat and other sources of oocysts, particularly in tropical climates where the organisms can survive in warm, moist soil. By transplacental transmission or during acquired disease, parasites disseminate to the eye and other sites in infected leukocytes. Reactivation of a retinal cyst results in tissue invasion by tachyzoites, producing focal necrotizing retinochoroiditis. The eye might also be seeded during reactivation of organisms at nonocular locations. Toxoplasmosis is a common cause of posterior uveitis in otherwise healthy people and is the most common nonviral infection of the eye and brain in patients with AIDS.

Several antimicrobial drugs have antitachyzoite activity (Table 5). Most agents do not usually eliminate tissue cysts. Acute treatment is essentially palliative rather than curative, and future recurrences cannot be reliably prevented.

 

TABLE FIVE. Antiprotozoal Drugs for Toxoplasmic Retinochoroiditis


DrugFormulaDosage
PyrimethamineC12H13ClN4Loading dose of 100–200 mg/day, followed by 25–50 mg/day, orally
SulfadiazineC10H10N4O2SLoading dose of 2–4 g, followed by 4 g/day, in 4 divided doses, orally
ClindamycinC18H33ClN2O5S1200 mg/day, orally or intravenously, in 3 or 4 divided doses
MinocyclineC23H27N3O7200 mg/day, orally, in 2 divided doses
AtovaquoneC22H19ClO31500–3000 mg/day, orally

 

PYRIMETHAMINE

Historical Development

Pyrimethamine (pyrim[idine] + eth[yl] + amine) was developed by Burroughs Wellcome as an antimalarial agent in the early 1950s. Pyrimethamine was subsequently reported to be effective in experimental toxoplasmosis in the mid-1950s,112 about the same time that T. gondii was found to be a cause of granulomatous uveitis in humans. The combination of pyrimethamine and sulfadiazine was soon shown to be an effective treatment for toxoplasmic retinochoroiditis,113 although initial clinical studies suggested a doubtful effect.114 The need to continue the drug for sufficient time to attack intracellular organisms115 and the narrow margin of safety with concomitant corticosteroids may be partial explanations why there was a period of disillusionment with pyrimethamine at several uveitis centers during the 1960s and 1970s. Therapeutic recommendations that were developed in the 1950s for ocular toxoplasmosis are still useful practice guidelines.116 Whether pyrimethamine could be used as sole therapy has not been studied in a controlled trial. Hematologic side effects are prevented by folinic acid supplementation without loss of pyrimethamine's antitoxoplasmic effect in animals117 and humans.118

Chemistry and Preparations

Pyrimethamine (2,4-diamino-5-[p-chlorophenyl]-6-ethylpyrimidine) is available as 25-mg scored tablets (Fig. 6). Its antitoxoplasmic action is enhanced when used in combination with another agent, most commonly sulfadiazine or triple sulfa (trisulfapyrimidines, a mixture of sulfadiazine, sulfamerazine, and sulfamethazine). These sulfonamides may be difficult to obtain.119 Pyrimethamine is available in combination with sulfadoxine (Fansidar), a preparation that has been used after acute treatment is completed to prevent recurrences in immunocompromised patients.120 Other combination products are available in some countries.

Fig. 6. Inhibitors of folate biosynthesis.

Pharmacologic Actions

By mimicking dihydrofolate, pyrimethamine is a selective inhibitor of dihydrofolate reductase121 and is more potent than trimethoprim in inhibiting T. gondii. The protozoal enzyme is also inhibited at a 1000-fold lower concentration than the human enzyme. High doses can have an effect on mammalian dihydrofolate reductase and produce side effects, but humans can utilize exogenous folinic acid. The blockade of folate metabolism prevents protozoal nuclear division during schizogony. Actively dividing organisms are eliminated; encysted, dormant organisms can persist.

Dosage and Pharmacokinetics

Pyrimethamine is slowly absorbed and slowly excreted. The plasma half-life is about 3 to 4 days, and the drug can persist for 2 weeks. It is somewhat concentrated in the retina,122,123 but only low amounts are found in the intraocular fluids.122,124 An inhibitory concentration of at least 0.25 μg/ml must be maintained for several days to destroy Toxoplasma organisms. This level is achievable by oral administration.

A loading dose is needed because the smaller daily maintenance doses will take up to 3 weeks to achieve a similar blood level.124 Because Toxoplasma reproduces inside retinal cells, the tissue level is more important than achievable concentrations in the vitreous or aqueous humor. Subconjunctival and retrobulbar administration does not give adequately sustained ocular levels. Intravitreal injection is toxic.

Pyrimethamine is given in combination with a sulfonamide or other antitoxoplasmic agent. Adults should receive a loading dose of pyrimethamine 100 mg on the first treatment day, then 25 mg once or twice per day thereafter. Children can receive half the adult dose. Recommendations for infants are 2 mg/kg/day for 3 days then 1 mg/kg/day. Pyrimethamine should generally be given for 4 to 6 weeks to eradicate all replicating forms of the parasite. The role of monitoring drug levels has not been determined.

Adverse Effects

Pyrimethamine, or more likely the concomitant sulfa drug that is usually used with it, has been associated with severe cutaneous reactions such as Stevens-Johnson syndrome. Excessively high doses may cause carnitine deficiency and can produce convulsions.125

Folic acid deficiency may lead to megaloblastic anemia, but this complication is prevented by supplementation with folinic acid (leucovorin calcium 10 mg daily for children and adults, 1 mg daily for infants). Toxoplasmic organisms cannot utilize folinic acid; thus, oral supplementation does not impair the effectiveness of pyrimethamine. However, multivitamins containing folic acid can protect Toxoplasma against pyrimethamine and should not be used during therapy. Vitamin B12 can accentuate folate deficiency and should probably not be used during pyrimethamine therapy.

Thrombocytopenia and hypersegmentation of neutrophils are the most common manifestations of bone marrow suppression and are both dose-related (unlikely with serum levels of less than 0.25 μg/100 ml) and due to individual susceptibility.126 Ecchymoses and nosebleeds occur when the platelet count falls to less than 50,000/mm3. Pyrimethamine should be discontinued if the platelet count is less than 100,000/mm3 or the leukocyte count falls to less than 4000/mm3.

Pyrimethamine can produce cleft palate in animals and is a suspected but not proven teratogen in humans.127 Pregnant women who require treatment should probably receive a drug with low risk to the fetus, such as sulfadiazine or spiramycin.

Clinical Experience

In the immunocompetent person, ocular toxoplasmosis is generally a self-limited disease. Treatment is recommended for sight-threatening inflammation, based on visual acuity, the location and size of the lesion, and the amount of vitreous inflammation.128 The use of pyrimethamine in multidrug therapy is associated with a decrease in lesion size.129

A loading dose of pyrimethamine is given, followed by 4 to 6 weeks of treatment at 25 to 50 mg/day. Folinic acid, either as a 5-mg tablet or a 3-mg intravenous solution dissolved in juice, is given orally two or three times per week during pyrimethamine therapy.

A sulfa drug is also given. Sulfadiazine is begun with a loading dose of 2 to 4 mg (75 mg/kg) followed by 1 g four times daily for 4 to 6 weeks. Triple sulfa (sulfadiazine, sulfamerazine, and sulfamethazine) is just as effective. Sulfisoxazole, sulfamethoxazole (in combination with trimethoprim), and sulfapyridine are less active. Fluids should be encouraged, and sodium bicarbonate can maintain alkalinization of the urine to prevent crystalluria.

Oral prednisone is often given if there is sight-threatening inflammation of the posterior pole or optic nerve. Dosing usually begins at 40 to 60 mg per day, starting either on the same day as antimicrobial treatment or on the next day. Corticosteroid therapy should probably be tapered and discontinued before the end of antibiotic treatment. Corticosteroid therapy may not be necessary in the treatment of ocular toxoplasmosis in AIDS patients.

Platelet and leukocyte counts should be monitored weekly. In people with AIDS and other immunocompromised patients with ocular toxoplasmosis, pyrimethamine may exacerbate bone marrow suppression and is antagonized by zidovudine.130 In immunocompromised patients who are at risk for recurrent posterior uveitis, pyrimethamine 50 mg/day with a sulfonamide (e.g., sulfadiazine 1 g twice daily) and folinic acid (15 mg/day) can be used for maintenance of chronic suppression (Table 6).

 

TABLE SIX. Prevention of Opportunistic Parasitic Infections during HIV Infection (USPHS/IDSA Guidelines)


InfectionDisease PreventionRecurrence Prevention
ToxoplasmosisTrimethoprim—sulfamethoxazole*Pyrimethamine + sulfadiazine
PneumocystosisTrimethoprim— sulfamethoxazole*Trimethoprim— sulfamethoxazole*
MicrosporidiosisNoneNone

*Alternative regimen is dapsone with pyrimethamine.

 

MACROLIDES

Historical Development

Lincomycin is a macrolide antibiotic isolated from Streptomyces lincolnensis, a soil actinomycete obtained from a sample taken from Lincoln, Nebraska. Clindamycin is a chlorinated analogue of lincomycin synthesized in 1971. It is available as a bitter-tasting hydrochloride and as both phosphate and palmitate esters. Soon after its role in experimental malaria was reported in 1968, clindamycin was shown to be effective in experimental toxoplasmosis in 1973131 and against experimental retinochoroiditis in 1975.132 Clindamycin was subsequently used to treat human disease, either alone133 or in combination with pyrimethamine and sulfonamides.

Chemistry and Preparations

Clindamycin (7-chlorolincomycin) is available as clindamycin hydrochloride capsules, clindamycin palmitate granules, and clindamycin phosphate solution for intravenous injection (Cleocin and others), as well as topical dermatologic and vaginal preparations (Fig. 7).

Fig. 7. Clindamycin.

Pharmacologic Actions

Lincinoids inhibit protein synthesis by binding to ribosomes. It can penetrate cyst walls,134 but some cysts can persist, leading to recurrent inflammation. While the drug does not readily cross the blood-brain and blood-ocular barriers, it is effective in treating toxoplasmic encephalitis and retinitis.135 The drug may be additive or synergistic with pyrimethamine or sulfonamides. Pyrimethamine/clindamycin is equivalent to pyrimethamine/sulfonamides.136

Dosage and Pharmacokinetics

Clindamycin and clindamycin palmitate are oral preparations that are rapidly absorbed. Clindamycin phosphate is administered intramuscularly or intravenously. Dosage depends on individual tolerance and other factors. Recommended schedules range from 150 to 300 mg every 6 hours to 600 to 1200 mg every 8 hours. Intraocular penetration with the oral137,138 and intramuscular137 routes yields relatively good levels in the posterior segment. Clindamycin seems to be selectively concentrated in the choroid and retina. The usual dosage of oral clindamycin for ocular toxoplasmosis is 300 mg four times daily for 3 to 6 weeks. Subconjunctival injection of clindamycin also leads to adequate intraocular levels134,139 and may be clinically effective.140 While the drug can be used topically for treating anterior segment infections, topical clindamycin does not provide sufficient levels in the posterior segment for the treatment of ocular toxoplasmosis.139,141

Adverse Effects

Oral clindamycin suppresses sensitive bacteria in the intestine; this may predispose to diarrhea, an effect that can last for 2 weeks after discontinuation and can be worsened by antiperistaltic agents. Antibiotic-associated diarrhea and pseudomembranous colitis is due to overgrowth of Clostridium difficile. The C. difficile toxin produces ulcerative plaques of the colonic mucosa, resulting in bloody diarrhea, abdominal pain, and fever. Clindamycin should be stopped in any patient with clinically significant diarrhea. A cytotoxicity assay can identify the toxin in the patient's stool. Oral vancomycin or similar therapy may be required. Other side effects include skin rashes, elevated liver function tests, and bone marrow suppression.

Clinical Experience

Subtenon injection of clindamycin can control ocular toxoplasmosis, but the oral route is preferred.142–145 Clindamycin is usually combined with sulfadiazine and/or pyrimethamine during treatment of acute infection. Triple therapy with all three antimicrobial agents is not needed and risks increased toxicity. Because clindamycin can cause severe colitis and is not better than pyrimethamine-sulfadiazine,129 it is not used by some ophthalmologists in immunocompetent patients.146 The combination of pyrimethamine, sulfadiazine, and prednisone is still the most commonly used regimen for ocular toxoplasmosis. Clindamycin, however, is used by some ophthalmologists in their preferred initial therapy,128 and it serves as an alternative agent for patients unable to tolerate the standard regimen. Clindamycin's role, then, is most often as an alternative to pyrimethamine-sulfadiazine combination therapy (such as in sulfa-sensitive individuals and in pregnant women) and is the most common alternative agent if pyrimethamine or sulfadiazine must be discontinued because of adverse effects.128

Treatment of ocular toxoplasmosis in immunocompromised patients may be different. Because of the risk of adverse effects with pyrimethamine and sulfadiazine in patients with AIDS, clindamycin is often used in initial therapy. Immunocompromised patients may also be predisposed to a higher rate of relapse, and oral clindamycin 300 mg every 6 hours may help to maintain chronic suppression.147

Other macrolide antibiotics such as spiramycin, azithromycin, and roxithromycin have activity against T. gondii and may be considered for patients who cannot tolerate standard therapy. Spiramycin, an agent used in animal feed, is available in some countries to treat pregnant women with acquired toxoplasmosis. Spiramycin may be effective in the treatment of toxoplasmic retinochoroiditis.148 Adult dosages of spiramycin are 3 to 4 g/day; pediatric dosing is 50 to 100 mg/kg/day.

Azithromycin is an azalide antibiotic that crosses the blood-brain and blood-retina barriers. Azithromycin may be effective in the treatment of toxoplasmic retinochoroiditis.147a The adult dosage is 500 mg the first day, then 250 mg per day for five weeks. Recurrences have occurred after administration of oral azithromycin.

TETRACYCLINES

Historical Development

The tetracyclines were discovered during the systematic screening of Streptomyces species during the 1940s. Chlortetracycline was introduced in 1948, and other natural extracts and chemical derivatives were subsequently produced. Doxycycline and minocycline are semisynthetic derivatives. Minocycline was found to have antimalarial effects in 1972 and was subsequently studied as an antitoxoplasmic agent in experimental models in the 1980s.149,150

Chemistry and Preparations

Several tetracyclines are available (Fig. 8). Minocycline (Minocin and others) and doxycycline (Vibramycin and others) are marketed as 50-mg and 100-mg capsules. Tetracycline is available as 250-mg and 500-mg capsules.

Fig. 8. Structural relationships of tetracycline congeners.

Pharmacologic Actions

The tetracyclines inhibit microbial protein synthesis by binding to ribosomes. Minocycline is effective in experimental toxoplasmosis.151 A synergistic effect has been found between minocycline and clarithromycin.152

Dosage and Pharmacokinetics

Oral minocycline and doxycycline are well-absorbed, and unlike some other tetracyclines their absorption is not affected by food. Minocycline and doxycycline are very fat-soluble. The drug is excreted in the bile in an inactive form. Minocycline is usually given as 100 mg once or twice daily for 4 to 6 weeks.

The optimal dosage of oral tetracycline may vary between different patients. The usual dosage is 250 mg four times daily. The medication should be taken at least 1 hour before or 2 hours after meals to ensure adequate absorption from the intestine. Milk and dairy products, antacids, iron tablets, and multivitamins can interfere with adequate absorption.

Adverse Effects

Many tetracyclines suppress enteric microorganisms within the first 2 days of use and may produce soft stools. Minocycline and doxycycline are mostly absorbed in the stomach and duodenum and have less impact on the intestinal flora. Pseudomembranous colitis is very rare, but the drug should be stopped in any patient with severe or prolonged diarrhea. Other side effects include phototoxicity (skin changes after exposure to sunlight), renal dysfunction, and hypersensitivity reactions. Because developing teeth and bones can be affected, tetracyclines should not be used in pregnant or nursing women or in children 8 years of age or younger.

Clinical Experience

Tetracyclines are rarely used in the initial treatment of ocular toxoplasmosis, unless an adverse reaction to the first-line agents (e.g., pyrimethamine or sulfadiazine) is encountered. When used to treat active disease, oral minocycline, doxycycline, or tetracycline should generally be combined with another effective agent. A tetracycline can be used to maintain suppression in immunocompromised patients in whom toxoplasmosis is judged likely to reactivate.

ATOVAQUONE

Historical Development

Hydroxynaphthoquinones were found to have antimalarial activity during World War II. Atovaquone is a synthetic compound that was found in the early 1980s to inhibit Plasmodium falciparum. The compound was subsequently developed because of its effects against parasitic opportunistic infections during AIDS, especially toxoplasmosis and pneumocystosis. Atovaquone (Mepron) was approved for use in Pneumocystis carinii pneumonia by the FDA in 1992.

Chemistry and Preparations

Atovaquone is a synthetic analogue of ubiquinone. The drug is not water-soluble and is marketed as a tablet and as a suspension (750 mg/ml) that should be shaken before each use.

Pharmacologic Actions

Atovaquone is effective against tachyzoites, bradyzoites, and cysts of T. gondii. The agent inhibits mitochondrial electron transport in susceptible parasites. Rifabutin, which has antitoxoplasmic activity, acts synergistically with atovaquone against T. gondii.

Dosage and Pharmacokinetics

The adult dose is 750 mg two to four times daily, depending on the formulation. Previously available as tablets, atovaquone is currently marketed as a suspension. Atovaquone is highly lipophilic and is poorly absorbed after oral administration. Bioavailability of the oral suspension is enhanced when administered with foods. Atovaquone is not metabolized in humans. It is bound to plasma proteins, and little drug is released into the intraocular fluids or the cerebrospinal fluid. Adequate dosage should achieve a steady-state plasma level of 10 μg/ml or greater. Atovaquone inhibits the glucuronidation of zidovudine.

Adverse Effects

Vomiting, diarrhea, and headache have occurred. Maculopapular skin rash affects up to 20% of patients. Vortex keratopathy has been reported.153

Clinical Experience

Atovaquone seems to be safe and effective for the treatment of ocular toxoplasmosis.154 Atovaquone can eradicate toxoplasmic cysts and might be able to reduce the risk of recurrent ocular toxoplasmosis.155 Atovaquone has also been used as chronic suppressive therapy for HIV-infected patients intolerant to other antitoxoplasmic drugs. Atovaquone might also be useful in the treatment of intestinal microsporidiosis.

TROVAFLOXACIN

Fluorinated 4-quinolones such as ciprofloxacin and ofloxacin were developed in the 1980s as derivatives of nalidixic acid. Trovafloxacin (fluoronaphthylridone quinolone) was discovered in the 1990s by side-chain substitutions of the fluoroquinolone molecule. This extended-spectrum quinolone was found to be active against T. gondii156 and to enhance the antitoxoplasmic activity of other drugs, such as pyrimethamine and sulfadiazine. Trovafloxacin (Trovan) is available as 200-mg tablets. Alatrofloxacin (Trovan IV), the alanyl prodrug, is available as an intravenous solution and is rapidly metabolized to trovafloxacin. The mechanism of action of trovafloxacin on T. gondii may be inhibition of the parasite's DNA gyrase. Other fluoroquinolones are probably not effective in toxoplasmosis.

Most of the drug remains unmetabolized by the liver after oral administration and is excreted in the bile. Ingestion of food does not substantially interfere with intestinal absorption and can reduce drug side effects. Trovafloxacin should be administered 2 hours before or after antacids or iron supplements. Ocular penetration exceeds serum concentrations. Adverse effects include dizziness, nausea, vomiting, headache, and rare phototoxicity. Clinical experience with oral trovafloxacin for ocular toxoplasmosis suggests preliminary efficacy.

Back to Top
ANTIPROTOZOAL DRUGS FOR PNEUMOCYSTIC CHOROIDITIS
P. carinii is more accurately considered a fungus than a protozoal parasite. A common cause of pulmonary disease among AIDS patients,157 dissemination leads to extrapulmonary complications. Since its initial recognition in 1987,158 most patients with AIDS who develop choroidal pneumocystosis have received previous aerosolized pentamidine before extrapulmonary disease developed.159 An increased recognition of pneumocystic choroidopathy occurred during the early 1990s.160–163 Treatment options are limited (Table 7).

 

TABLE SEVEN. Antifungal Drugs for Pneumocystic Choroiditis


DrugFormulaDosage
Trimethoprim (TMP)— sulfamethoxazole (SMX)C14H18N4O3 (TMP), C10H11N3O3S (SMX)TMP 15–20 mg/kg/day, SMX 75–100 mg/kg/day, orally or intravenously, in 3 or 4 divided doses
PentamidineC19H24N4O23–4 mg/kg/day, intravenously

 

PENTAMIDINE

Historical Development

Like other aromatic diamidines (e.g., propamidine), pentamidine (pent[ane] + amidine) has microbicidal activity. The drug was developed in the 1930s after the fortuitous observation that trypanosomes (which require high sugar levels) were inhibited by a hypoglycemic drug. The activity of antiparasitic agents is probably not solely related to carbohydrate metabolism, but this line of research did lead to the development of pentamidine and other compounds for treating African trypanosomiasis.164

Chemistry and Preparations

Pentamidine (1,5-di[4-amidinophenoxy]pentane) is used in the form of its isethionate salt in vials containing 300 mg for parenteral administration (Pentacarinat, Pentam 300).

Pharmacologic Actions

Pentamidine and other diamidines are cationic, and they may bind DNA within microorganisms and inhibit RNA polymerase.165 The drug can also interfere with polyamine and glucose metabolism.

Dosage and Pharmacokinetics

Pentamidine is generally given intramuscularly at 4 mg/kg/day once daily for 2 weeks. Intravenous administration requires dilution in 50 to 250 ml of 5% dextrose and slow infusion over 1 hour.166

Adverse Effects

Nearly half of the patients receiving parenteral pentamidine develop toxicity. Marked hypotension may follow rapid intravenous administration. While intramuscular injection is usually tolerated, local inflammation can occur. Pancreatitis with hypoglycemia, diabetes mellitus with hyperglycemia, and renal dysfunction have occurred.

Clinical Experience

Intravenous pentamidine isethionate is effective for disseminated pneumocystosis.167,168 It is used as an alternative to trimethoprim-sulfamethoxazole for treating pneumocystic choroidopathy. Recurrent infection can occur after initial regression.169

COTRIMOXAZOLE (TRIMETHOPRIM-SULFAMETHOXAZOLE)

Historical Development

Trimethoprim (TMP) is a diaminopyrimidine derivative (like pyrimethamine). Sulfamethoxazole (SMX or SMZ) is a sulfonamide, a derivative of sulfanilamide for which Domagk was awarded the 1938 Nobel Prize in Medicine. By combining two drugs that act on sequential metabolic steps, a synergistic effect can be achieved.170 TMP-SMX was found to be effective in treating pneumonia and other complications of P. carinii infection. The use of prophylactic TMP-SMX may reduce the occurrence of extrapulmonary pneumocystosis.

Chemistry and Preparations

Commercial combinations (Bactrim, Septra, and others) are available in oral and intravenous forms with a 1:5 ratio of TMP and SMX (Fig. 9).

Fig. 9. Antimicrobial agents (trimethoprim and sulfamethoxazole) available in combination (Septra, Bactrim, and others).

Pharmacologic Actions

Both of the components of cotrimoxazole interfere with the biosynthesis of tetrahydrofolate.171 SMX inhibits dihydropteroate synthase that incorporates para-aminobenzoate into a precursor of folic acid. TMP inhibits dihydrofolate reductase that converts dihydrofolate to tetrahydrofolate. An optimal tissue ratio of 20 parts SMX to one part TMP is needed for antibacterial synergism.

Dosage and Pharmacokinetics

Treatment of pneumocystic choroiditis requires high intravenous doses: TMP 20 mg/kg/day and SMX 100 mg/kg/day in three or four divided doses. Oral therapy may maintain suppression after the posterior uveitis subsides.

Adverse Effects

Cotrimoxazole is unlikely to cause clinical folate deficiency in humans, although megaloblastic anemia can occur in malnourished patients. Nausea and stomatitis are the most common side effects. Stevens-Johnson syndrome is rare but may be more likely in older individuals. The occurrence of side effects may be greater in patients with AIDS.172 Skin rash and fever are common in AIDS patients who are treated for pneumocystosis, with side effects often beginning during the second week of therapy. Neutropenia, thrombocytopenia, hepatitis, and mild renal dysfunction can occur.

Clinical Experience

TMP-SMX is the preferred treatment for pneumocystosis because it is better tolerated than pentamidine. Intravenous TMP-SMX and oral TMP-SMX with dapsone have been used in the treatment of choroidal and orbital pneumocystosis.173,174 Nontuberculous mycobacteria and other opportunistic organisms may coexist with P. carinii during choroidal infection and may require specific treatment. Systemic prophylaxis, usually with a double-strength tablet once daily, is needed to prevent relapse.169

Back to Top
ANTHELMINTHIC DRUGS FOR OCULAR TOXOCARIASIS AND DIFFUSE UNILATERAL SUBACUTE NEURORETINITIS
Ocular larva migrans was established as a distinct entity in 1950 when Toxocara canis larvae were found by careful histopathologic examination in eyes enucleated for suspected retinoblastoma. Besides the eosinophilic inflammatory mass that characterizes severe ocular toxocariasis, T. canis and other nematodes such as the dog hookworm, Ancylostoma caninum, and the raccoon ascarid, Baylisascaris procyonis, can produce less severe inflammation of the retina and optic nerve, known as diffuse unilateral subacute neuroretinitis (DUSN). Anthelmintics are available that have some activity against these nematodes,175 but most cases are treated with observation or surgery rather than medical therapy.

THIABENDAZOLE

Historical Development

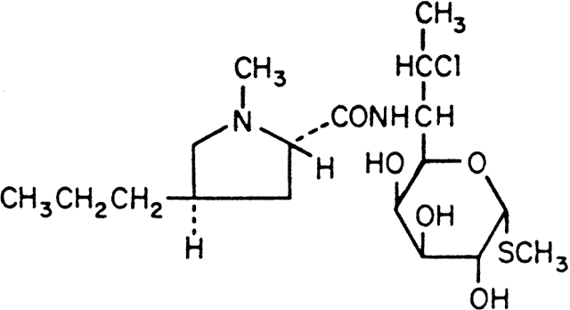
Thiabendazole (the thiazole derivative of benzimidazole) was reported to have anthelminthic activity in 1961 by Merck researchers.176 The drug became commonly used against intestinal nematodes of animals and humans. Medical treatment of ocular toxocariasis with thiabendazole was reported in 1962.177 Most clinicians do not use anthelminthic therapy for ocular disease without visceral larval migrans. After the initial recognition in 1978 that a nematode could wander in the subretinal space over months and years and produce diffuse degenerative changes in the retina and retinal pigment epithelium, anthelminthic agents were sought as an alternative or supplement to laser photocoagulation. Thiabendazole was initially thought to be ineffective in DUSN,178 but subsequent experience identified a potential benefit in selected patients (Table 8). Other agents such as ivermectin,179 fenbendazole,180 and oxfendazole are also suggested to have potential roles in treatment.

 

TABLE EIGHT. Antiparasitic Drugs for Ocular Helminthic Infections


IndicationDrugFormulaDosage
DUSNThiabendazoleC10H7N3S50 mg/kg/day, orally, in 2 divided doses
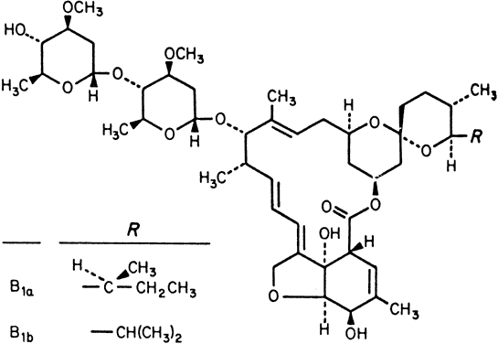
OnchocerciasisIvermectinC48H74O14(BIa)C47H72O14(BIb)0.15 mg/kg, orally, as one dose

 

Chemistry and Preparations

Thiabendazole (Mintezol) is available as 500-mg chewable tablets and as a 100-mg/ml suspension (Fig. 10).

Fig. 10. Structural relationships of benzimidazole antiparasitic agents.

Pharmacologic Actions

Thiabendazole inhibits fumarate reductase and disrupts the microtubular function of nematodes. The agent binds to parasite tubulin, which is essential for motility.

Dosage and Pharmacokinetics

Thiabendazole is administered as 50 mg/kg/day in two divided doses, up to 3 g per day, for 2 to 4 successive days. The absorbed drug is metabolized in the liver and excreted by the kidneys. Thiabendazole can penetrate into the inflamed eye.181

Adverse Effects

Nausea is the most common side effect. Mild dizziness, headache, disorientation, or paresthesias may occur. Dryness of the eyes and mouth has been reported.182 The urine may smell of asparagus.

Clinical Experience

For ocular toxocariasis, vitrectomy is used to remove epimacular membranes and vitreoretinal traction. Some cases responding to oral thiabendazole or oral albendazole with prednisone have been reported.183

For DUSN, laser photocoagulation is preferred to antiparasitic therapy.184 If photocoagulation is not used (because the nematode cannot be found or if there is extensive vitreous inflammation), thiabendazole can be given orally for 2 to 4 days.185,186 Indications of successful treatment are fading or disappearance of the multifocal retinitis and the appearance of a new focus of vitreoretinitis at the site of the dead nematode.

Back to Top
ANTHELMINTHIC DRUGS FOR CYSTICERCOSIS
Cysticercosis is caused by infection with Cysticercus cellulosae, the larval form of Taenia solium. Intraocular and orbital infestation can occur, most commonly in regions with poverty and poor sanitation. Intestinal taeniasis is treated with oral niclosamide. Brain cysticercosis is treated with oral albendazole. Surgical removal of the organism is the preferred treatment for ocular or adnexal infection. Supplemental albendazole and prednisone have been used with excisional biopsy for orbital and subconjunctival cysticercosis.187,188
Back to Top
ANTHELMINTHIC DRUGS FOR ONCHOCERCIASIS
Onchocerciasis is a major cause of preventable blindness caused by filarial worms. More than 30 million people are at risk for “river blindness,” and oral ivermectin has revolutionized the control of this disease.189 This drug is also useful in the treatment of other animal and human parasitic diseases, including loiasis, bancroftian filariasis, strongyloidiasis, and scabies.

IVERMECTIN

Historical Development

Onchocercal keratitis was described in Central America in 1917 and in Africa in 1921. Onchocercal chorioretinitis was identified in 1832, but its widespread recognition did not occur until the late 20th century. Until recently, the only effective treatment of human onchocerciasis was surgical excision of skin nodules containing adult worms. During World War II, the high rate of filariasis in American military personnel stationed in the Pacific islands stimulated the development of anthelminthic piperazine compounds, and diethylcarbamazine (DEC) was introduced in the 1940s. DEC was found to kill circulating microfilariae of Onchocerca volvulus, although not the adult worms. The abrupt death of microfilariae often produced intense itching and skin rash (Mazzotti reaction) and acute ocular inflammation.

A continued search for safer antiparasitic drugs was undertaken in the 1970s by the Merck Institute for Therapeutic Research in the United States and the Kitasato Institute in Japan. More than 40,000 cultures of actinomycetes were screened, and one soil mold, Streptomyces avermitilis, produced a group of eight related compounds known as avermectins. The avermectins had good activity against nematodes, and abamectin (avermectin B1) was chemically modified to form ivermectin.190

Ivermectin was first tested against onchocerciasis in 1982.191 Clinical trials evaluated ivermectin in Africa during the 1980s for treating onchocercal eye disease.192–195 Compared with DEC, ivermectin did not aggravate the ocular disease. Because of DEC's potential for exacerbating ocular inflammation and producing other side effects, ivermectin is now the recommended treatment for onchocerciasis.196 Ivermectin has been in widespread use in Africa, Central America, and South America since 1987 and was approved by the FDA in 1997.

Chemistry and Preparations

Ivermectin (22,23-dihydroavermectin B1) is a macrocyclic lactone (Fig. 11). It is a semisynthetic analogue of avermectin B1, an insecticide used in farming. Ivermectin (Heartgard-30 and others) is marketed in many developed countries for controlling animal parasites (e.g., the canine heartworm, Dirofilaria immitis). Merck markets scored 6-mg tablets (Stromectal) for the treatment of onchocerciasis and strongyloidiasis and makes oral ivermectin (Mectizan) available to programs trying to control human onchocerciasis in endemic areas (CDC Drug Services, 404-639-3670).197

Fig. 11. Ivermectin.

Pharmacologic Actions

Ivermectin immobilizes developing larvae and blocks the exit of microfilariae from pregnant worms by producing tonic muscular paralysis. This action is mediated through an effect on gamma-aminobutyric acid (GABA), a neurotransmitter in the peripheral musculature of O. volvulus larvae, and by opening glutamate-gated chloride channels. Ivermectin is macrofilaricidal,198 and adult male worms may be affected.

Dosage and Pharmacokinetics

A single oral adult dose of 0.15 mg/kg reduces the number of microfilariae in the skin and the eye by 99.5%.199 This effect may take several weeks but lasts for 6 to 12 months (see Table 8). Ivermectin also kills microfilariae within the adult worm's uterus. Because it does not eradicate adult female worms, repeat dosing is needed until the adult worms die. Retreatment is effective for reinfection.

Adverse Effects

Hematologic values, blood chemistries, and urine composition are unaffected by oral ivermectin in doses of 150 to 200 μg/kg. Because the drug does not cross the blood-brain barrier, ivermectin has little effect as a GABA agonist of the human central nervous system. Nevertheless, central nervous systemic toxicity (e.g., mydriasis, dizziness, ataxia, tremors) may occur with high doses. Diarrhea and nausea are the most common side effects associated with ivermectin. Mild skin rash, pruritus, and edema occur in some individuals.200 Increased ocular inflammation from antigens released by dying microfilariae is precipitated in rare cases.

Clinical Experience

Ivermectin does not produce acute ocular inflammation in patients with onchocerciasis.201 Single doses of ivermectin eradicate most microfilariae in mild to moderately infected individuals. Punctate keratitis, iritis, and optic neuropathy are controlled because fewer microfilariae are released into the eye, although there are no beneficial effects on sclerosing keratitis and chorioretinitis. In severely infected individuals, infection of the skin and eyes may persist after single-dose therapy.202 Yearly dosing can have a gradual or cumulative microfilaricidal effect,201 producing a 30% decline in microfilariae with each treatment.

Besides individual therapy, ivermectin is often distributed to an entire community in an endemic area. Doses are optimally given according to weight, although they can be judged by height203 or physical appearance.204 Because adult worms persist, retreatment is indicated 6 to 12 months later. A well-tolerated drug effective against adult worms has yet to be marketed.

Back to Top
ANTIPARASITIC DRUGS FOR LICE INFESTATION
Ectoparasitic diseases of the eye are uncommon. Treatment of phthiriasis of the eyelashes consists of delousing the patient, other close contacts and family members, clothing, and bedding. Removal of lice and nits from the eyelashes can be done with forceps. Fluorescein 20% solution can help to dislodge the parasites. Anticholinesterase agents (e.g., physostigmine 0.25% ophthalmic ointment), at the same concentrations used to treat glaucoma, kill adult lice.

ECTOPARASITICIDES

Pediculocides can be applied directly to the eyelashes with a cotton-tipped applicator. Many kill adult lice and not nits, so mechanical removal may still be needed. Available insecticides include malathion, crotamiton, pyrethrins (e.g., permethrin and pyrethrum), and lindane (gamma benzene hydrochloride). Commercial preparations of malathion 0.5% lotion or solution can be applied directly to the eyelashes.205,206 Ocular irritation occurs if the agent contacts the eye. Lindane can also cause keratoconjunctivitis and corneal epithelial toxicity.207,208 Systemic absorption of lindane risks toxicity to the central nervous system, particularly in infants. Because of its potential neurotoxicity, consumer activists have called for lindane's ban.209

INORGANIC MERCURIAL SALTS

Inorganic mercury compounds were found to be bacteriostatic in the late 19th century. Mercuric ions inhibit various microorganisms by combining with sulfhydryl, amino, and other chemical groups. Insoluble mercurial salts are incorporated into ointments that can also act to physically smother adult lice. Yellow mercuric oxide 1% and ammoniated mercuric chloride 3% ophthalmic ointments are available.

Application of yellow mercuric oxide to the eyelashes four times daily for 2 weeks eradicates lice and nits.210 Adverse effects include irritation of the ocular surface.211 Mercury can pass into the skin and mucous membranes, and chronic use has led to mercury deposition in the crystalline lens.

Back to Top
ACKNOWLEDGMENTS
Supported in part by the National Eye Institute (EY00377), Sid Richardson Foundation, and Research to Prevent Blindness, Inc. Dr. Wilhelmus is a RPB Senior Scientific Investigator.
Back to Top
REFERENCES

1. Liu LX, Weller PF: Antiparasitic drugs. N Engl J Med 334:1178, 1996

2. Kean BH, Sun T, Ellsworth RM: Color Atlas/Text of Ophthalmic Parasitology. New York, Igaku-Shoin, 1991

3. Wilhelmus KR: Antiparasitic drugs in ophthalmology. Int Ophthalmol Clin 36:117, 1996

4. Osato MS, Robinson NM, Wilhelmus KR, Jones DB: In vitro evaluation of antimicrobial compounds for cysticidal activity against Acanthamoeba. Rev Infect Dis 13(Suppl 5):S431, 1991

5. Elder MJ, Kilvington S, Dart JKG: A clinicopathologic study of in vitro sensitivity testing and Acanthamoeba keratitis. Invest Ophthalmol Vis Sci 35:1059, 1994

6. Chu DM, Miles H, Toney D et al: Amebicidal activity of plant extracts from Southeast Asia on Acanthamoeba spp. Parsitol Res 84:746, 1998

7. Gatti S, Cevini C, Bruno A et al: In vitro effectiveness of povidone-iodine on Acanthamoeba isolates from human cornea. Antimicrob Agents Chemother 42:2232, 1998

8. Auran JD, Starr MB, Jakobiec FA: Acanthamoeba keratitis. A review of the literature. Cornea 6:2, 1987

9. Lindquist TD: Treatment of Acanthamoeba keratitis. Cornea 17:11, 1998

10. Illingworth CD, Cook SD: Acanthamoeba keratitis. Surv Ophthalmol 42:493, 1998

11. Waksman SA, Lechavelier HA: Neomycin, a new antibiotic active against streptomycin-resistant bacteria, including tuberculosis organisms. Science 109:305, 1949

12. Jawetz E: Polymyxin, Neomycin, Bacitracin. New York, Medical Encyclopedia, 1956

13. Nagington J: Isolation of amoebae from eye infections in England. Trans Ophthalmol Soc UK 95:207, 1975

14. Nagington J, Watson PG, Playfair TJ et al: Amoebic infection of the eye. Lancet 2:1537, 1974

15. Ma P, Willaert E, Juechter KB, Stevens AR: A case of keratitis due to Acanthamoeba in New York, New York, and features of 10 cases. J Infect Dis 143:662, 1981

16. Haskell TH, French JC, Bartz QR: Paromomycin. I. Paromamine, a glycoside of D-glucosamine. J Am Chem Soc 81:3480, 1959

17. Casemore DP: Sensitivity of Hartmannella (Acanthamoeba) to 5-fluorocytosine, hydroxystilbamidine, and other substances. J Clin Pathol 23:649, 1970

18. Nagington J, Richards JE: Chemotherapeutic compounds and Acanthamoebae from eye infections. J Clin Pathol 29:648, 1976

19. Jones DB, Visvesvara GS, Robinson NM: Acanthamoeba polyphaga keratitis and Acanthamoeba uveitis associated with fatal meningoencephalitis. Trans Ophthalmol Soc UK 95:221, 1975

20. Lee GS, Hu FR, Tseng SH et al: Isolation and in vitro susceptibility of Acanthamoeba from a patient with keratitis. Chung Hua Min Kuo Wei Sheng Wu Chi Mien I Hsueh Tsa Chih 22:59, 1989

21. Maudgal PC, Cornelis H, Missotten L: Effects of commercial ophthalmic drugs on rabbit corneal epithelium. A scanning electron-microscopic study. Albrecht von Graefes Arch Klin Exp Ophthalmol 216:191, 1981

22. Stern GA, Schemmer GB, Farber RD, Gorovoy MS: Effect of topical antibiotic solutions on corneal epithelial wound healing. Arch Ophthalmol 101:644, 1983

23. Verzin AA: Vliianie neomitsina v razlichnykh lekarstvennykh formakh na regeneratsiiu epiteliia rogovitsy i perenosimost ego tkaniami glaza krolika. Antibiotiki 20:842, 1975

24. Lass JH, Mack RJ, Imperia PS et al: An in vitro analysis of aminoglycoside corneal epithelial toxicity. Curr Eye Res 8:299, 1989

25. Verzin AA, Mirzayants MG. Mestnoe primenenie neomitsina. Gistomorfologicheskie izmeneniia so storony nervnoretseptornogo apparata rogovitsy glaza krolika. Antibiotiki 21:79, 1976

26. Jackson TN, Heinze JB, Tuxen J, Weiner JM: Successful medical treatment of a corneal ulcer due to Acanthamoeba polyphaga. Aust NZ J Ophthalmol 14:139, 1986

27. Wright P, Warhurst D, Jones BR: Acanthamoeba keratitis successfully treated medically. Br J Ophthalmol 69:778, 1985

28. Moore MB, McCulley JP: Acanthamoeba keratitis associated with contact lenses: Six consecutive cases of successful management. Br J Ophthalmol 73:271, 1989

29. Brasseur G, Favennecc L, Perrine D et al: Successful treatment of Acanthamoeba keratitis by hexamidine. Cornea 13:459, 1994

30. Perrine D, Chenu JP, Georges P et al: Amoebicidal efficiencies of various diamidines against two strains of Acanthamoeba polyphaga. Antimicrob Agents Chemother 39:339, 1995

31. Alizadeh H, Silvany RE, Meyer DR et al: In vitro amoebicidal activity of propamidine and pentamidine isethionate against Acanthamoeba species and toxicity to corneal tissues. Cornea 16:94, 1997

32. Bailly C, Perrine D, Lancelot JC et al: Sequence-selective binding to DNA of bis(amidinophenoxy)alkanes related to propamidine and pentamidine. Biochem J 323:23, 1997

33. Hugo ER, Byers TJ: S-Adenosyl-L-methionine decarboxylase of Acanthamoeba castellanii (Neff): Purification and properties. Biochem J 295:203, 1993

34. Paniagua Crespo E, Hasle DP, Aouizerate F et al: Etude in vitro de l'isethionate de propamidine: intérèt dans le suive des kératites amibiennes à Acanthamoeba. J Fr Ophtalmol 12:489, 1989

35. Bacon AS, Frazer DG, Dart JK et al: A review of 72 consecutive cases of Acanthamoeba keratitis. Eye 7:719, 1993

36. McCulley JP, Alizadeh H, Niederkorn JY: Acanthamoeba keratitis. CLAO J 21:73, 1995

37. John T, Lin J, Sahm DF: Acanthamoeba keratitis successfully treated with prolonged propamidine isethionate and neomycin-polymyxin-gramicidin. Ann Ophthalmol 22:20, 1990

38. Johns KJ, Head WS, O'Day DM: Corneal toxicity of propamidine. Arch Ophthalmol 106:68, 1988

39. Ficker L, Seal D, Warhurst D, Wright P: Acanthamoeba keratitis—resistant to medical therapy. Eye 4:835, 1990

40. Ledee DR, Seal DV, Byers TJ: Confirmatory evidence from 18S rRNA gene analysis for in vivo development of propamidine resistance in a temporal series of Acanthamoeba ocular isolates from a patient. Antimicrob Agents Chemother 42:2144, 1998

41. Davies GE, Francis J, Martin AR et al: 1:6-di-'-chlorophenyl-diguanidohexane (“Hibitane”). Laboratory investigation of a new antibacterial agent of high potency. Br J Pharmacol 9:192, 1954

42. Dawson MW, Brown TJ, Till DG: The effect of Baquacil on pathogenic free-living amoebae (PFLA). 1. In axenic conditions. NZ J Marine Freshwater Res 17:305, 1983

43. Larkin DF, Kilvington S, Dart JK: Treatment of Acanthamoeba keratitis with polyhexamethylene biguanide. Ophthalmology 99:185, 1992

44. Yee E, Fiscella R, Winarko TK: Topical PHMB (pool cleaner) for treatment of acanthamoeba keratitis. Am J Hosp Pharm 50:2522, 1993

45. Duguid IG, Dart JKG, Morlet N et al: Outcome of Acanthamoeba keratitis treated with polyhexamethyl biguanide and propamidine. Ophthalmology 104:1587, 1997

46. Prasad BNK: In vitro effect of drugs against pathogenic & non-pathogenic free-living amoebae & on anaerobic amoebae. Indian J Exp Biol 10:43, 1972

47. Hay J, Kirkness CM, Seal DV, Wright P: Drug resistance and Acanthamoeba keratitis: The quest for alternative antiprotozoal chemotherapy. Eye 8:555, 1994

48. Kilvington S: Activity of water biocide chemicals and contact lens disinfectants on pathogenic free-living amoebae. Int Biodeterior 26:127, 1990

49. Silvany RE, Dougherty JM, McCulley JP et al: The effect of currently available contact lens disinfection systems on Acanthamoeba castellanii and Acanthamoeba polyphaga. Ophthalmology 97:286, 1990

50. May OW: Polymeric antimicrobial agents. In: Block SS (ed): Disinfection, Sterilization, and Preservation, 4th ed. Philadelphia, Lea & Febiger, 1991

51. Denton GW: Chlorhexidine. In: Block SS (ed): Disinfection, Sterilization, and Preservation, 4th ed. Philadelphia, Lea & Febiger, 1991

52. Kirkness CM, Hay J, Seal DV, Aitken D: Acanthamoeba keratitis. Ophthalmol Clin North Am 7:605, 1994

53. Khunkitti W, Lloyd D, Furr JR, Russell AD: Aspects of the mechanisms of action of biguanides on trophozoites and cysts of Acanthamoeba castellanii. J Appl Microbiol 82:107, 1997

54. Khunkitti W, Lloyd D, Furr JR, Russell AD: The lethal effects of biguanides on cysts and trophozoites of Acanthamoeba castellanii. J Appl Bacteriol 81:73, 1996

55. Tirado-Angel J, Gabriel MM, Wilson LA et al: Effects of polyhexamethylene biguanide and chlorhexidine on four species of Acanthamoeba in vitro. Curr Eye Res 15:225, 1996

56. Kong HH, Chung DI: Ultrastructural changes of Acanthamoeba cyst of clinical isolates after treatment with minimal cysticidal concentration of polyhexamethylene biguanide. Korean J Parasitol 36:7, 1998

57. Furr JR: Sensitivity of protozoa to disinfection: B. acanthamoeba and contact lens solutions. In Russell AD, Hugo WB, Agliff GAJ (eds.): Principles and Practice of Disinfection, Preservation, and Sterilization, 3rd ed. Oxford, Blackwell Science, 1999

58. Berry M, Easty DL: Isolated human and rabbit eye: Models of corneal toxicity. Toxic In Vitro 7:461, 1993

59. Green K, Livingston V, Bowman K, Hull DS: Chlorhexidine effects on corneal epithelium and endothelium. Arch Ophthalmol 98:1273, 1980

60. Hamill MB, Osato MS, Wilhelmus KR: Experimental evaluation of chlorhexidine gluconate for ocular antisepsis. Antimicrob Agents Chemother 26:793, 1984

61. Hamed LM, Ellis FD, Boudreault G et al: “Hibiclens” keratitis. Am J Ophthalmol 104:50, 1987

62. Phinney RB, Mondino BJ, Hofbauer JD et al: Corneal edema related to accidental Hibiclens exposure. Am J Ophthalmol 106:210, 1988

62a. Kosrirukvongs P, Wanachiwanawin D, Visvesvara GS: Treatment of acanthamoeba keratitis with chlorhexidine. Ophthalmology 106:798, 1999

63. Tseng S-H, Lin S-C, Chen FK: Is polyhexamethylene biguanide alone effective for Acanthamoeba keratitis? Cornea 17:345, 1998

64. Varga JH, Wolf TC, Jensen HG et al: Combined treatment of Acanthamoeba keratitis with propamidine, neomycin, and polyhexamethylene biguanide. Am J Ophthalmol 115:466, 1993

65. Azuara-Blanco A, Sadiq AS, Hussain M et al: Successful medical treatment of Acanthamoeba keratitis. Int Ophthalmol 21:223, 1997

66. Gray TB, Gross KA, Cursons RT, Shewan JF: Acanthamoeba keratitis: A sobering case and a promising new treatment. Aust NZ J Ophthalmol 22:73, 1994

67. Murdoch D, Gray TB, Cursons R, Parr D: Acanthamoeba keratitis in New Zealand, including two cases with in vivo resistance to polyhexamethylene biguanide. Aust NZ J Ophthalmol 26:231, 1998

68. Bennett JE: Clotrimazole: New drug for systemic mycoses? Ann Intern Med 73:653, 1970

69. Duma RJ: In vitro susceptibility of pathogenic Naegleria and Acanthamoeba species to a variety of therapeutic agents. Antimicrob Agents Chemother 10:370, 1976

70. Stevens AR, Willaert E: Drug sensitivity and resistance of four Acanthamoeba species. Trans R Soc Trop Med Hyg 74:806, 1980

71. Samples JR, Binder PS, Luibel FJ et al: Acanthamoeba keratitis possibly acquired from a hot tub. Arch Ophthalmol 102:707, 1984

72. Driebe WT Jr, Stern GA, Epstein RJ et al: Acanthamoeba keratitis. Potential role for topical clotrimazole in combination chemotherapy. Arch Ophthalmol 106:1196, 1988

73. Hemady RK, Chu W, Foster CS: Intraocular penetration of ketoconazole in rabbits. Cornea 11:329, 1992

74. Foster CS, Lass JH, Moran-Wallace K, Giovanoni R: Toxicity of topical antifungal agents. Arch Ophthalmol 99:1081, 1981

75. Gilbert ML, Osato MS, Wilhelmus KR: Ocular toxicity of topical clotrimazole preparations. J Toxicol Cut Ocul Toxicol 6:3, 1987

76. Lindquist TD, Sher NA, Doughman DJ: Clinical signs and medical therapy of early Acanthamoeba keratitis. Arch Ophthalmol 106:73, 1988

77. Berger ST, Mondino BJ, Hoft RH et al: Successful medical management of Acanthamoeba keratitis. Am J Ophthalmol 110:395, 1990

78. Cohen EJ, Parlato CJ, Arentsen JJ et al: Medical and surgical treatment Acanthamoeba keratitis. Am J Ophthalmol 103:615, 1987

79. D'Aversa G, Stern GA, Driebe WT Jr: Diagnosis and successful medical treatment of Acanthamoeba keratitis. Arch Ophthalmol 113:1120, 1995

80. Ishibashi Y, Matsumoto Y, Kabata T et al: Oral itraconazole and topical miconazole with debridement for acanthamoeba keratitis. Am J Ophthalmol 109:121, 1990

81. Didier ES, Maddry JA, Kwong CD et al: Screening of compounds for antimicrosporidial activity in vitro. Folia Parasitol 45:129, 1998

82. McCowen MC, Callender ME, Lawlis JF Jr: Fumagillin (H-3), a new antibiotic with amebicidal properties. Science 113:202, 1951

83. Killough JH, Magill GB, Smith RC: The treatment of amebiasis with fumagillin. Science 115:71, 1952

84. Katznelson H, Jamieson CA: Control of nosema disease of honeybees with fumagillin. Science 115:70, 1952

85. Friedberg DN, Stenson SM, Orenstein JM, Tierno PM, Charles NC: Microsporidial keratoconjunctivitis in acquired immunodeficiency syndrome. Arch Ophthalmol 108:504, 1990

86. Didier ES: Effects of albendazole, fumagillin, and TNP-470 on microsporidial replication in vitro. Antimicrob Agents Chemother 41:1541, 1997

87. Coyle C, Kent M, Tanowitz HB et al: TNP-470 is an effective antimicrosporidial agent. J Infect Dis 177:515, 1998

88. Hartwig A, Przelecka A: Nucleic acids in intestine of apis mellifica infected with Nosema apis and treated with fumagillin DCH cytochemical and autoradiographic studies. J Invert Pathol 18:331, 1971

89. Shadduck JA: Effect of fumagillin on in vitro multiplication of Encephalitozoon cuniculi. J Protozool 27:202, 1980

90. Beauvais B, Sarfati C, Challier S, Derouin F: In vitro model to assess effect of antimicrobial agents on Encephalitozoon cuniculi. Antimicrob Agents Chemother 38:2440, 1994

91. Franssen FF, Lumeij JT, van Knapen F: Susceptibility of Encephalitozoon cuniculi to several drugs in vitro. Antimicrob Agents Chemother 39:1265, 1995

92. Jaronski ST: Cytochemical evidence for RNA synthesis inhibition by fumagillin. J Antibiot 25:327, 1972

93. Liu TP: Effects of Fumidil B on the spore of Nosema apis and on lipids of the host cell as revealed by freeze-etching. J Invert Pathol 22:364, 1973

94. Diesenhouse MC, Wilson LA, Corrent GF et al: Treatment of microsporidial keratoconjunctivitis with topical fumagillin. Am J Ophthalmol 115:293, 1993

95. Rosberger DF, Serdarevic ON, Erlandson RA et al: Successful treatment of microsporidial keratoconjunctivitis with topical fumagillin in a patient with AIDS. Cornea 12:261, 1993

96. Kersten A, Althaus C, Seitz HM et al: Beidseitige Mikrosporidien-Keratitis bei einer HIV-positiven Patientin im Stadium AIDS. Klin Monatsbl Augenheilkd 212:476, 1998

97. Shadduck JA: Human microsporidiosis and AIDS. Rev Infect Dis 11:203, 1989

98. Wilkins JH, Joshi N, Margolis TP et al: Microsporidial keratoconjunctivitis treated successfully with a short course of fumagillin. Eye 8:703, 1994

99. Lowder CY, McMahon JT, Meisler DM et al: Microsporidial keratoconjunctivitis caused by Septata intestinalis in a patient with acquired immunodeficiency syndrome. Am J Ophthalmol 121:715, 1996

100. Garvey MJ, Ambrose PG, Ulmer JL: Topical fumagillin in the treatment of microsporidial keratoconjunctivitis in AIDS. Ann Pharmacother 29:872, 1995

101. Theodorides VJ, Gyurik RJ, Kingsbury WD, Parish RC: Anthelmintic activity of albendazole against liver flukes, tapeworms, lung and gastrointestinal roundworms. Experientia 32:702, 1976

102. Weber R, Bryan RT, Schwartz DA, Owen RL: Human microsporidial infections. Clin Microbiol Rev 7:426, 1994

103. Sobotka I, Albrecht H, Schafer H et al: Disseminated Encephalitozoon (Septata) intestinalis infection in a patient with AIDS: Novel diagnostic approaches and autopsy-confirmed parasitological cure following treatment with albendazole. J Clin Microbiol 33:2948, 1995

104. Lacey E: Mode of action of benzimidazoles. Parasitol Today 6:112, 1990

105. Canning EU, Hollister WS: In vitro and in vivo investigations of human microsporidia. J Protozool 38:631, 1991

106. Venkatesan P: Albendazole. J Antimicrob Chemother 41:145, 1998

107. De Groote MA, Visvesvara G, Wilson ML et al: Polymerase chain reaction and culture confirmation of disseminated Encephalitozoon cuniculi in a patient with AIDS: Successful therapy with albendazole. J Infect Dis 17:1375, 1995

108. Lacey CJ, Clarke AM, Fraser P et al: Chronic microsporidian infection of the nasal mucosae, sinuses and conjunctivae in HIV disease. Genitourin Med 68:179, 1992

109. Lecuit M, Oksenhendler E, Sarfati C: Use of albendazole for disseminated microsporidian infection in a patient with AIDS. Clin Infect Dis 19:332, 1994

110. Gritz DC, Holsclaw DS, Neger RE et al: Ocular and sinus microsporidial infection cured with systemic albendazole. Am J Ophthalmol 124:241, 1997

111. Molina JM, Chastang C, Goguel J et al: Albendazole for treatment and prophylaxis of microsporidiosis due to Encephalitozoon intestinalis in patients with AIDS: A randomized double-blind controlled trial. J Infect Dis 177:1373, 1998

111a. Rossi P, Urbani C, Donelli G, Pozio E: Resolution of microsporidial sinusitis and keratoconjunctivitis by itraconazole treatment. Am J Ophthalmol 127:210, 1999

112. Eyles DE, Coleman N: Synergistic effect of sulfadiazine and Daraprim against experimental toxoplasmosis in the mouse. Antibiot Chemother 3:483, 1953

113. Ryan RW, Hart WM, Culligan JJ et al: Diagnosis and treatment of toxoplasmic uveitis. Trans Am Acad Ophthalmol Otolaryngol 58:867, 1954

114. Acers TE: Toxoplasmic retinochoroiditis, a double-blind therapeutic study. Arch Ophthalmol 71:58, 1964

115. Jacobs L, Melton ML, Kaufman HE: Treatment of experimental ocular toxoplasmosis. Arch Ophthalmol 71:111, 1964

116. Frenkel JK, Jacobs L: Ocular toxoplasmosis. Pathogenesis, diagnosis, and treatment. Arch Ophthalmol 59:260, 1958

117. Giles CL, Jacobs L, Melton M: Experimental use of folinic acid in the treatment of toxoplasmosis with pyrimethamine. Arch Ophthalmol 72:82, 1964

118. Giles CL: The treatment of toxoplasma uveitis with pyrimethamine and folinic acid. Am J Ophthalmol 58:611, 1964

119. Centers for Disease Control: Availability of sulfadiazine—United States. MMWR 41:950, 1992

120. Schmitz K, Fabricius EM, Brommer H, Emminger C: Pravalenz, Morphologie und Therapie der Toxoplasmose-Retinochoroiditis bei AIDS. Fortschr Ophthalmol 88:698, 1991

121. Hitchings GH: Daraprim as an antagonist of folic and folinic acid. Trans R Soc Trop Med Hyg 46:467, 1952

122. Choi CS: Penetration of pyrimethamine (Daraprim) into ocular tissues of rabbits. Arch Ophthalmol 60:603, 1958

123. Kaufman HE: The penetration of Daraprim (pyrimethamine) into the monkey eye. Am J Ophthalmol 52:402, 1961

124. Kaufman HE, Caldwell LA: Pharmacological studies of pyrimethamine (Daraprim) in man. Arch Ophthalmol 61:885, 1959

125. Grisham RSC: Central nervous system toxicity of pyrimethamine (Daraprim) in man. Am J Ophthalmol 54:1119, 1962

126. Kaufman HE, Geisler PH: Hematologic toxicity of pyrimethamine (Daraprim) in man. Arch Ophthalmol 64:140, 1960

127. Sand BJ: Teratogenesis from Daraprim. Am J Ophthalmol 56:1011, 1963

128. Engstrom RE Jr, Holland GN, Nussenblatt RB, Jabs DA: Current practices in the management of ocular toxoplasmosis. Am J Ophthalmol 111:601, 1991

129. Rothova A, Buitenhuis HJ, Meenken C et al: Therapy of ocular toxoplasmosis. Int Ophthalmol 13:415, 1989

130. Israelski DM, Tom C, Remington JS: Zidovudine antagonizes the action of pyrimethamine in experimental infection with Toxoplasma gondii. Antimicrob Agents Chemother 33:30, 1989

131. McMaster PRB, Powers KG, Finerty JF, Lunde MN: The effect of two chlorinated lincomycin analogues against acute toxoplasmosis in mice. Am J Trop Med Hyg 22:14, 1973

132. Tabbara KF, Nozik RA, O'Connor GR: Clindamycin effects on experimental ocular toxoplasmosis in the rabbit. Arch Ophthalmol 92:244, 1974

133. O'Connor GR: Chemotherapy of toxoplasmosis and toxocariasis. In: Srinivasan BD, ed. Ocular Therapeutics. New York, Masson, 1980

134. Tabbara KF, O'Connor GR: Ocular tissue absorption of clindamycin phosphate. Arch Ophthalmol 93:1180, 1975

135. Hofflin JM, Remington JS: Clindamycin in a murine model of toxoplasmic encephalitis. Antimicrob Agents Chemother 31:492, 1987

136. Cochereau-Massin I, LeHoang P, Lautier-Frau M et al: Ocular toxoplasmosis in human immunodeficiency virus-infected patients. Am J Ophthalmol 114:130, 1992

137. Tokuda H, Hiroshi H, Kayaba T: The use of clindamycin palmitate in ophthalmology. Jpn J Antibiot 26:404, 1973

138. Mikuni M, Oishi M, Imai M et al: Ophthalmic use of clindamycin palmitate. Jpn J Antibiot 26:409, 1973

139. Mercer KB, DeOlden JE, Leopold IH: Intraocular penetration of topical clindamycin in rabbits. Arch Ophthalmol 96:880, 1978

140. Jeddi A, Azaiez A, Bouguila H et al: Interet de la clindamycine dans le traitement de la toxoplasmose oculaire. J Fr Ophtamol 20:418, 1997

141. Devlin JL, Mercer KB, Dea FJ, Leopold IH: Intraocular penetration of topical clindamycin in rabbits. Arch Ophthalmol 96:1650, 1978

142. Tate GW, Martin RG: Clindamycin in the treatment of human ocular toxoplasmosis. Can J Ophthalmol 12:188, 1977

143. Tabbara KF, O'Connor GR: Treatment of ocular toxoplasmosis with clindamycin and sulfadiazine. Ophthalmology 87:129, 1980

144. Ferguson JG: Clindamycin therapy for toxoplasmosis. Ann Ophthalmol 13:95, 1981

145. Lakhanpal V, Schocket SS, Nirankari VS: Clindamycin in the treatment of toxoplasmic retinochoroiditis. Am J Ophthalmol 95:605, 1983

146. Belfort R Jr, Silveira CM, Martins MC et al: Toxoplasmosis: Current concepts and therapeutic options in Brazil. In: Bialasiewicz AA, Schaal KP (eds). Infectious Diseases of the Eye. Buren, The Netherlands, Aeolus Press, 1994

147. Israelski DM, Remington JS: Toxoplasmic encephalitis in patients with AIDS. Infect Dis Clin North Am 2:429, 1988

147a. Rothova A, Bosch-Driessen LE, van Loon NH, Treffeis WF: Azithromycin for ocular toxoplasmosis. Br J Ophthalmol 82:1306, 1998

148. Hacker M, Richter R, Gumbel H et al: Toxoplasmose-Retinochoroiditis, ein Therapievergleich zwischen Spiramycin und Pyrimethamin/Sulfadiazin. Klin Monatsbl Augenheilkd 212:84, 1998

149. Tabbara KF, Sakuragi S, O'Connor GR: Minocycline in the chemotherapy of murine toxoplasmosis. Parasitology 84:297, 1982

150. Rollins DF, Tabbara KF, Ghosheh R, Nozik RA: Minocycline in experimental ocular toxoplasmosis in the rabbit. Am J Ophthalmol 93:361, 1982

151. Chang HR, Comte R, Piguet PF, Pechere JC: Activity of minocycline against Toxoplasma gondii infection in mice. J Antimicrob Chemother 27:639, 1991

152. Lacassin F, Schaffo D, Perronne C et al: Clarithromycin-minocycline combination as salvage therapy for toxoplasmosis in patients infected with human immunodeficiency virus. Antimicrob Agents Chemother 39:276, 1995

153. Shah GK, Cantrill HL, Holland EJ: Vortex keratopathy associated with atovaquone. Am J Ophthalmol 120:669, 1995

154. Pearson PA, Piracha AR, Sen HA, Jaffe GJ: Atovaquone for the treatment of Toxoplasma retinochoroiditis in immunocompetent patients. Ophthalmology 106:148, 1999

155. Gormley PD, Pavesio CE, Minnasian D, Lightman S: Effects of drug therapy on Toxoplasma cysts in an animal model of acute and chronic disease. Invest Ophthalmol Vis Sci 39:1171, 1998

156. Khan AA, Slifer T, Araujo FG, Remington JS: Trovafloxacin is active against Toxoplasma gondii. Antimicrob Agents Chemother 40:1855, 1996

157. Masur H: Prevention and treatment of Pneumocystis pneumonia. N Engl J Med 327:1853, 1992

158. Raviglione MC: Extrapulmonary pneumocystosis: The first 50 cases. Rev Infect Dis 12:1127, 1990

159. Northfelt DW, Clement MJ, Safrin S: Extrapulmonary pneumocystosis: clinical features in human immunodeficiency virus infection. Medicine 69:392, 1990

160. Holland GN, MacArthur LJ, Foos RY: Choroidal pneumocystosis. Arch Ophthalmol 109:1454, 1991

161. Shami MJ, Freeman W, Friedberg D et al: A multicenter study of Pneumocystis choroidopathy. Am J Ophthalmol 112:15, 1991

162. Foster RE, Lowder CY, Meisler DM et al: Presumed Pneumocystis cariniiUnifocal presentation, regression with intravenous pentamidine, and choroiditis recurrence. choroiditis. Ophthalmology 98:1360, 1991

163. Wasserman L, Haghighi P: Otic and ophthalmic pneumocystosis in acquired immunodeficiency syndrome. Report of a case and review of the literature. Arch Pathol Lab Med 116:500, 1992

164. King H, Lourie EM, Yorke W: New trypanocidal substances. Lancet 2:1360, 1937

165. Sands M, Kron MA, Brown RB: Pentamidine: A review. Rev Infect Dis 7:625, 1985

166. Navin TR, Fontaine RE: Intravenous versus intramuscular administration of pentamidine. N Engl J Med 311:1701, 1984

167. Dugel PU, Rao NA, Forster DJ et al: Pneumocystis carinii choroiditis after long-term aerosolized pentamidine therapy. Am J Ophthalmol 110:113, 1990

168. Sneed SR, Blodi CF, Berger BB et al: Pneumocystis carinii choroiditis in patients receiving inhaled pentamidine. N Engl J Med 322:936, 1990

169. Sha BE, Benson CA, Deutsch T et al: Pneumocystis carinii choroiditis in patients with AIDS: Clinical features, response to therapy, and outcome. J Acquired Immune Deficiency Syndromes. 5:1051, 1992

170. Hitchings GH: A biochemical approach to chemotherapy. Trans NY Acad Sci 23:700, 1961

171. Wormser GP, Keusch GT, Heal RC: Cotrimoxazole (trimethoprim-sulfamethoxazole): An updated review of its antibacterial activity and clinical efficacy. Drugs 24:459, 1982

172. Gordin FM, Simon GL, Wofsy CR, Mills J: Adverse reactions to trimethoprim-sulfamethoxazole in patients with the acquired immunodeficiency syndrome. Ann Intern Med 100:495, 1984

173. Koser MW, Jampol LM, MacDonnell K: Treatment of Pneumocystis carinii choroidopathy. Arch Ophthalmol 108:1214, 1990

174. Friedberg DN, Warren FA, Lee MH et al: Pneumocystis carinii of the orbit. Am J Ophthalmol 113:595, 1992

175. de Silva N, Guyatt H, Bundy D: Anthelmintics. A comparative review of their clinical pharmacology. Drugs 53:769, 1997

176. Brown HD, Matzuk AR, Ilves IR et al: Antiparasitic drugs. IV. 2-(4'-thiazolyl)benzimidazole, a new anthelmintic. J Am Chem Soc 83:1764, 1961

177. Rey A: Nematode endophthalmitis due to Toxocara. Br J Ophthalmol 46:616, 1962

178. Gass JDM, Braunstein RA: Further observations concerning the diffuse unilateral subacute neuroretinitis syndrome. Arch Ophthalmol 101:1689, 1983

179. Callanan D, Davis JL, Cohen SM et al: The use of ivermectin in diffuse unilateral subacute neuroretinitis. Ophthalmology 100(Suppl):114, 1993

180. Prichard RK, Ranjan S: Anthelmintics. Vet Parasitol 46:113, 1993

181. Maguire AM, Zarbin MA, Connor TB, Justin J: Ocular penetration of thiabendazole. Arch Ophthalmol 108: 1675, 1990

182. Fink AI, MacKay CJ, Cutler SS: Sicca complex and cholangiostatic jaundice in two members of a family probably caused by thiabendazole. Ophthalmology 86:1892, 1979

183. Dietrich A, Auer H, Tittl M, Barisani-Asenbauer T: Okulare Toxokarose in Osterreich. Dtsch Med Wochenschr 123:626, 1998

184. Casella AMB, Farah ME, Belfort R Jr: Antihelminthic drugs in diffuse unilateral subacute neuroretinitis. Am J Ophthalmol 125:109, 1998

185. Rubin ML, Kaufman HE, Tierney JP, Lucas HC: An intraretinal nematode (a case report). Trans Am Acad Ophthalmol Otolaryngol 72:855, 1968

186. Gass JDM, Callanan DG, Bowman CB: Oral therapy in diffuse unilateral subacute neuroretinitis. Arch Ophthalmol 110:675, 1992

187. Srivastava VK, Srivastava A, Singhal KC: Albendazole therapy in orbital cysticercosis. Indian J Physiol Pharmacol 40:265, 1996

188. Sekhar GC, Lemke BN: Orbital cysticercosis. Ophthalmology 104:1599, 1997

189. Campbell WD (ed). Ivermectin and Abamectin. New York, Springer-Verlag, 1989

190. Aziz MA, Diallo S, Diop IM et al: Efficacy and tolerance of ivermectin in human onchocerciasis. Lancet 2:171, 1982

191. Onchocerciasis and its control: Report of a WHO Expert Committee on Onchocerciasis Control. World Health Organ Tech Rep Ser 852:1, 1995

192. Taylor HR, Murphy RP, Newland HS et al: Treatment of onchocerciasis. The ocular effects of ivermectin and diethylcarbamazine. Arch Ophthalmol 104;863, 1986

193. Greene BM, Taylor HR, Cupp EW et al: Comparison of ivermectin and diethylcarbamazine in treatment of human onchocerciasis. N Engl J Med 313:133, 1985

194. Diallo S, Aziz MA, Lariviere M et al: A double-blind comparison of the efficacy and safety of ivermectin and diethylcarbamazine in a placebo-controlled study of Senegalese patients with onchocerciasis. Trans R Soc Trop Med Hyg 80:927, 1986

195. Dadzie KY, Bird AC, Awadzi K et al: Ocular findings in a double-blind study of ivermectin versus diethylcarbamazine versus placebo in the treatment of onchocerciasis. Br J Ophthalmol 71:78, 1987

196. Goa KL, McTavish D, Clissold SP: Ivermectin. A review of its antifilarial activity, pharmacokinetic properties and clinical efficacy in onchocerciasis. Drugs 42:640, 1991

197. Vagelos PR: Are prescription drug prices high? Science 252:1080, 1991

198. Campbell WC, Fisher MH, Stapley EO et al: Ivermectin: A potent new antiparasitic agent. Science 221:823, 1983

199. Newland HS, White AT, Greene BM et al: Effect of single-dose ivermectin therapy on human Onchocerca volvulus infection with onchocercal ocular involvement. Br J Ophthalmol 72:561, 1988

200. Chijioke CP, Okonkwo PO: Adverse events following mass ivermectin therapy for onchocerciasis. Trans R Soc Trop Med Hyg 86:284, 1992

201. Taylor HR, Semba RD, Newland HS et al: Ivermectin treatment of patients with severe ocular onchocerciasis. Am J Trop Med Hyg 40:494, 1989

202. Rothova A, Van der Lelij A, Stilma JS et al: Ocular involvement in patients with onchocerciasis after repeated treatment with ivermectin. Am J Ophthalmol 110:6, 1990

203. Taylor HR, Duke BOL, Gonzales C: Simplified dose schedule of ivermectin. Lancet 341:50, 1993

204. Cousens SN, Gemade E, Asha B et al: Ivermectin dosing based on physical appearance. Int Ophthalmol 18:215, 1994

205. Burns DA: The treatment of Pthirus pubis infestation of the eyelashes. Br J Dermatol 117:741, 1987

206. Rundle PA, Hughes DS: Phthirus pubis infestation of the eyelids. Br J Ophthalmol 77:815, 1993

207. Ben-Ezra D, Paez JH, Almeida C et al: Keratoconjunctivitis following pediculocides. Harefuah 104:96, 1983

208. Reinecke RD, Kinder RSL: Corneal toxicity of the pediculocide A-200 pyrinate. Arch Ophthalmol 68:36, 1962

209. A modern scourge: Parents scratch their heads over lice. Consumer Reports 63(2):62, 1998

210. Ashkenazi I, Desatnik HR, Abraham FA: Yellow mercuric oxide: A treatment of choice for phthiriasis palpebrarum. Br J Ophthalmol 75:356, 1991

211. Kastl PR, Zulfigar A, Mather F: Placebo-controlled double-blind evaluation of the efficacy and safety of yellow mercuric oxide in suppression of eyelid infections. Ann Ophthalmol 19:376, 1987

Back to Top